2. 四川大学 制造科学与工程学院,四川 成都 610065
2. School of Manufacturing Sci.and Eng., Sichuan Univ., Chengdu 610065, China
在机床加工刀具系统中,刀柄和刀具间传递动力与精度的部分称为结合部。结合部的刚度和阻尼参数对刀具结构的动力学特性有着显著的影响[1–2]。在机床加工过程中,作用在刀具和工件上的切削力都会引起刀具和工件的相对振动,不仅会造成不平稳的切削过程,而且会导致工件被加工表面质量变差。为保证较好的切削性能,应在加工过程中避免颤振和保证切削稳定性,而唯一的方法是获得准确的稳定性叶瓣图(切削速度-切削深度关系图)。但无论采用何种方法获得叶瓣图,都需先得到刀尖点的频率响应函数(FRF)[3]。因此,准确辨识刀柄结合部刚度和阻尼参数不仅为探究结合部对工具系统动力学特性的影响提供理论依据,又是精确预测工具系统刀尖FRF的前提和保证。
刀柄结合部通常被简化为均布的弹簧–阻尼单元,Tony等[4]采用有限元法对刀柄–刀具结合部参数进行识别,获得了结合部内各位置的刚度参数和2个阻尼参数,但阻尼参数为阻尼与激振力频率之积(cω)。Özşahin等[5]采用有限差分法和频响实验相结合的方法辨识了刀柄–刀具结合部的参数,但仅能得到结合部端点部位的参数。陈建等[6–7]结合Tony和Ozsahin两位学者的研究成果,采用限元法辨识结合部的刚度和有限元差分法获取结合部端点处的阻尼值,并将二者等效为结合部动力学参数实现刀尖频响函数的预测。汪博等[1–2]建立了BT主轴–刀柄–刀具系统的动力学模型,分别使用阻抗耦合法、半理论法与有限元法获得了BT工具系统的刀尖点的频响函数。Namazi等[8]采用有限元与锤击实验相结合的方法来辨识结合参数,仅获得了结合部刚度信息,没有考虑结合部的阻尼信息。可见,现有方法尚有局限性。
为此,作者基于联合仿真法辨识结合部动力学参数的基本思路[9–12],通过锤击振动实验辨识刀柄系统的模态参数(固有频率、相对振幅、振型),并以实验采集的模态参数作为评价标准,通过有限元理论计算分析与MATLAB迭代寻优的方法不断缩小有限元模型与实际模型之间的误差,达到收敛准则后输出结合部动力学参数的辨识结果。在本文方法中为减少调用有限元分析次数,采用了采样点构造的方法和采样区间设计变量归一化处理的方法;为了提高参数辨识的精度,采用了非线性规划函数的寻优算法。具有一定的通用性和高辨识精度等优点,为后续获取叶瓣图与机床切削稳定性分析奠定了理论基础。
1 刀柄结合部动力学模型建立如图1所示,基于结合部动力学特性,针对刀柄系统结合部参数与其动态特性进行本质分析。
![]() |
| 图1 刀柄系统动力学模型 Fig. 1 Tool shank system dynamics model |
该系统的受迫振动的微分方程为:
| ${M}\ddot{{{X}}} (t)+({{{C}}_{{M}}}+{{{C}}_{{J}}})\dot{{X}}(t)+({{{K}}_{{M}}}+{{{K}}_{{J}}}){X}(t)={F}(t)$ | (1) |
式中,
二自由度系统边界条件为受迫振动,模拟力锤频响实验,外部激励简谐力:
| ${{{F}}_{1}}(t) = {F_{10}}{{\rm e}^{{\rm i}\omega t}}, {{{F}}_{2}}(t) = 0$ | (2) |
式中,
| ${x_1}(t) = {X_j}{{\rm e}^{{\rm i}\omega t}}, j = 1, 2$ | (3) |
将式(2)和式(3)代入式(1)中可得:
| $\left\{ \begin{aligned} & {H_{110}}({\rm i}\omega ) = \dfrac{{ - {\omega^2}{m_2} + {\rm i}\omega ({c_2} + {c_j}) + ({k_2} + {k_j})}}{{\left[ { - {\omega ^2}{m_2} + {\rm i}\omega ({c_2} + {c_j}) + ({k_2} + {k_j})} \right]\left[ { - {\omega ^2}{m_1} + {\rm i}\omega ({c_1} + {c_j}) + ({{{k}}_1} + {k_j})} \right] - {{\left( {{\rm i}\omega{c_j} + {k_j}} \right)}^2}}},\\ & {H_{210}}({\rm i}\omega ) = \dfrac{{{\rm i}\omega {c_j} + {k_j}}}{{\left[ { - {\omega ^2}{m_2} + {\rm i}\omega ({c_2} + {c_j}) + ({{{k}}_2} + {k_j})} \right]\left[ { - {\omega ^2}{m_1} +{\rm i}\omega ({c_1} + {c_j}) + ({{{k}}_1} + {k_j})} \right] - {{\left( {{\rm i}\omega{c_j} + {k_j}} \right)}^2}}} \end{aligned}\right.$ | (4) |
因实际研究工作中,系统结构的复杂性
对刀柄系统进行模态实验,实验设备采用的是德国的M+P振动噪声测试平台平台,激振方式为移动力锤激励法,数据采集则采用的传感器为PCB ICP型加速度单向传感器。实验时,为模拟自由状态下的边界条件,实验时用弹力绳将被测件的两端部进行悬挂。为保证获得准确的实验效果,在正式实验前需进行预备试验,以便正式实验时合理的分布测点、正确的设置系统参数、触发边界参数和加窗方式。实验后采用平台自带的impact testing模块对采集的数据进行后处理,获取所需的模态固频与相应测点的频率响应函数曲线。
2.2 模态联合仿真寻优法因
联合仿真寻优算法的工作原理是将结合面的动力学参数作为设计变量,通过MATLAB调用ANSYS对构造后的采样点进行有限元分析,分别获取研究对象的理论计算和模态实验的前N阶固有频率理论值
以固有频率计算值和实验测量值建立非线性寻优函数,求取结合面接触刚度。
| $\begin{aligned} & \min\;f({{{k}}_{i}})=\sum\limits_{r=1}^{n}{(}\omega _{r}^{\rm w}-\omega _{r}^{\rm s}{{)}^{2}}\le {{\varepsilon }_{1}}, r=1,{\rm{2}},\cdots , n;\\ & {\rm s.t}{{.}^{{}}}\ 2{{k}_{i}}-(b-a)\frac{i}{m}=a+{{b}^{{}}}, i=1,{\rm{2}},\cdots , m \end{aligned}$ | (5) |
以加速度频响振幅计算值和实验测量值建立式非线性寻优函数,求取结合面接触阻尼。
| $\begin{aligned} & \min\;f({{c}_{i}})=\sum\limits_{r=1}^{n}{(}\ddot{x}_{r}^{\rm w}-\ddot{x}_{r}^{\rm s})^{2}\le {{\varepsilon }_{2}}, r=1,2,\cdots , n;\\ & {\rm s.t}{{.}^{{}}}\ 2{{c}_{i}}-(b-a)\frac{i}{m}=a+{{b}^{{}}}, i=1,{\rm{2}},\cdots , m \end{aligned}$ | (6) |
式中,
为避免各个设计变量的取值范围变化较大造成样本点选取不合理,在目标优化之前对设计变量进行归一化处理。归一化后的变量用
| ${\zeta _i} = \frac{{2{k_i} - (a + b)}}{{b - a}}$ | (7) |
| ${\psi _i} = \frac{{2{c_i} - (a + b)}}{{b - a}}$ | (8) |
计算结束后,再通过回代得到原设计变量的值。
在归一化的自变量约束空间采样,如果相邻两采样点的
| $(\omega _r^{\rm w}({k_i}) - \omega _r^{\rm s}) \cdot (\omega _r^{\rm w}({k_{i + 1}}) - \omega _r^{\rm s}) \le 0$ | (9) |
或
| $(\ddot x_r^{\rm w}({k_i}) - \ddot x_r^{\rm s}) \cdot (\ddot x_r^{\rm w}({k_{i + 1}}) - \ddot x_r^{\rm s}) \le 0$ | (10) |
则在MATLAB中暂时停止迭代调用指令,将
基于第2.2节阐述的原理和方法可知,通过MATLAB–ANSYS联合仿真寻优法不断进行采样点重构,并且构建了结合部间的刚度、阻尼与研究对象各阶固有频率和振幅的非线性规划数学模型,从而完成了结合部刚度参数辨识的工作,其技术路线流程图如图2所示。
![]() |
| 图2 优化仿真联合辨识结合面参数流程 Fig. 2 Flow of optimization and simulation joint identification joint part parameter |
技术路线具体实施步骤如下:
1)定义设计参数与目标参数:在MATLAB中将结合部弹簧刚度、阻尼和ANSYS测点频响函数的固有频率和相应振动幅值分别设置为优化设计变量和目标响应,将impact实验得到的前N阶固有频率和振动幅值设值为目标约束。
2)设置设计参数采样区间:按照文献[13]预估结合部刚度或阻尼参数变化大区间,在预估区间内对设计变量进行归一化处理,并在[–1,1]内选择m个均匀分布的采样点,之后回代得到原设计变量的值。
3)MATLAB调用有限元谐响应分析:通过MATLAB主程序调用有限元ANSYS,按照有限元分析流程对前两个采样点谐响应分析计算。
4)目标函数寻优:判别是否满足目标函数最小化。如果满足停止迭代,如不满足进行步骤5)。
5)误差判别:将采样点获取的响应值与目标约束数据进行比较,如相邻两采样点响应与目标误差值符号相反,则以该两采样点形成的子区域为新的采样区间,跳至步骤7),否则进行步骤6)。
6)更新刚度或阻尼信息:前两点分析结束后优化命令自动调用下一个采样点,运行过程自动跳转至步骤3),不断更新循环。
7)设计参数区间重选定:根据步骤5)在新采样区间内归一化处理、均布采样点m及回代得到m个原设计变量,重复步骤3)至7)直至目标函数满足最小化。
3 力锤锤击实验及参数辨识的实例研究 3.1 刀柄结合部锤击振动实验实验对象为以BT40刀柄系统,因其有两个结合面,所以在测点1和测点2处各布置了一个传感器。实验配置示意图如图3所示。
![]() |
| 图3 试验配置及测点分布 Fig. 3 Impact test configuration and points distribution |
力锤锤击实验中测点1的法向加速度FRF如图4所示。
![]() |
| 图4 测点1的FRF Fig. 4 FRF curve of the point 1 |
力锤锤击实验中测点1法向加速度FRF前2阶固有频率与幅值数值如表1所示。
| 表1 测点1前2阶固有频率和振幅 Tab. 1 Natural frequencies and amplitudes of point 1 of first and second order |
![]() |
3.2 刀柄刀具系统动力学模型建立
准确建立拉钉–刀柄–刀具有限元模型,对其进行网格划分,在拉钉–刀柄和刀柄–刀具结合部位置处生成弹簧–阻尼单元,模型建立如图5所示。
![]() |
| 图5 刀柄–刀具系统有限元模型 Fig. 5 Finite element model of holder–tool system |
3.3 基于MATLAB–ANSYS联合仿真寻优法刀柄系统参数辨识
通过第2.3节阐述的结合部参数辨识技术路线,实现结合部参数的辨识工作。结果显示,基于MATAB–ANSYS联合仿真寻优法在最后一轮采样区间内的两结合部采样刚度值与固有频率的对应关系如图6所示,两结合部采样阻尼值与加速度导纳振幅对应关系如图7所示。
![]() |
| 图6 结合部等效刚度与频响固频关系 Fig. 6 Harmonic analysis curve of stiffness and frequency of the juntion of holder-tool |
![]() |
| 图7 结合部等效阻尼与频响振幅关系 Fig. 7 Harmonic analysis curve of damping and amplitude of the juntion of holder-tool |
拉钉–刀柄和刀柄–刀具结合部刚度参数分别经过28次和17次迭代获得,结果分别为5.665×107、1.500×108 N/m;结合部阻尼值分别经过22次和19次迭代获得,结果分别为9.9、10.4 (s·N)/m。而通过文献[9]的方法则至少需要174次有限元迭代分析才能完成2个结合部刚度参数的辨识,对比可知本文的方法具有更高的辨识效率,调用有限元分析效率提高接近4倍。
3.4 方法可行性验证与刀尖频响预测为研究刚度信息和阻尼信息对结构动力学的影响,分别建立了只考虑刚度参数和刚度阻尼参数均考虑的两种有限元分析模型,并将两者模型预测结果与实验频响曲线进行对比验证识别参数的精度。因辨识出的刚度和阻尼信息是由测点1的实验和理论分析获得的,为了研究所辨识参数对其他测点是否具有普适性,对刚度阻尼参数均考虑的有限元模型中的刀尖点进行谐响应分析,所得模型的仿真与实测频率响应函数曲线对比,验证辨识方法的可行性。
3.4.1 结合部无/有阻尼分析与实验对比验证建立结合部仅考虑刚度信息刀柄系统有限元模型。对模型进行有限元分析得到测点1的加速度频响函数曲线,对比实验测得的测点1的加速度频响函数曲线,结果如图8所示。
![]() |
| 图8 不考虑阻尼测点1仿真与实验加速度导纳对比 Fig. 8 Comparison FRF curves of experimental and predicted without damping |
建立结合部刚度阻尼信息均考虑的刀柄系统有限元模型。对模型进行谐响应分析得到测点1的加速度频响函数曲线,与实验测得的测点1的加速度频响函数曲线进行对比,对比结果图9所示。
![]() |
| 图9 考虑阻尼测点1仿真与实验加速度导纳对比 Fig. 9 Comparison FRF curves of experimental and predicted with damping |
从图8和9中分别提取H11仿真和H11实验频率响应函数曲线的前2阶固有频率和幅值,采集数据如表2所示。
| 表2 有限元仿真与实验采集数据的对比 Tab. 2 Comparision of experimental and predicted data of finite element |
![]() |
图8中理论分析和实验获取的频率响应函数曲线在固有频率处吻合度较高,由于没有考虑结合部阻尼的关系,其对应的加速度FRF振幅差别较大。图9因相对于图8考虑了结合部阻尼的信息,所以仿真和实验频率响应函数曲线吻合度较高,在0~5 200 Hz区间基本重合。在5 200至7 500 Hz之间两频率响应函数曲线振幅出现较小的分离现象,经过刀具实验与刀具简化模型有限元分析对比,是因铣刀部位模型简化时将其直径由Ф32 mm等效为Ф16.8 mm的杆,所以出现了有限元模型与实物偏离的情况。限于篇幅与研究重点本文不再累述。
表2结果表明,组合结构结合面间的刚度和阻尼分别是影响系统结构的固有频率和振幅的主要影响因子。研究对象刀柄系统在结合面刚度已定的前提下,考虑与不考虑阻尼前2阶固有频率均分别为4 933和7 269 Hz,由此可知刚度是影响结构固有频率的主要因素。考虑阻尼参数的有限元模型所得前2阶固有频率对应的振动幅值分别为74.940、36.456 m/s2,不考虑阻尼参数对应的振幅分别为392.590、14 802 m/s2,较大的幅值变动说明结合面间的阻尼参数是影响刀柄系统FRF振幅的主要因素,因此结合部刚度和阻尼参数的有效辨识是获取准确的刀尖FRF的前提。表2中两者均考虑的仿真与实验所得FRF曲线前2阶固有频率误差分别为0.02%、0.013%,幅值误差分别为0.09%、0.1%。而使用文献[9]的辨识方法本文的研究对象固有频率最大误差能达到3%,说明本文的辨识方法精度更高。
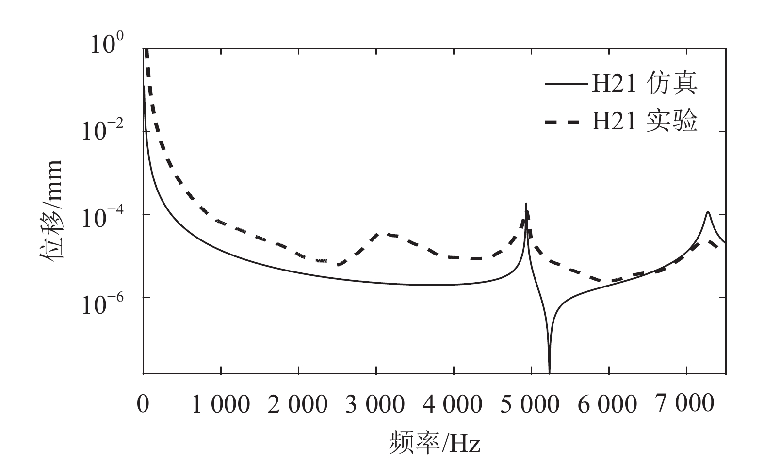
3.4.2 刀尖频响预测为了研究所辨识的参数对其他测点是否具有普适性,将由测点1辨识的动力学信息录入刀柄系统有限元模型中,进而预测刀尖点2的位移FRF曲线,对比实验采集的数据曲线,结果如图10所示。
![]() |
| 图10 刀尖频响预测与实验FRF曲线对比 Fig. 10 Experimental and predicted comparison FRF curves of tool tip |
图10中刀尖的1阶固有频率仿真值和实验值均为4 930 Hz,2阶固有频率仿真值和实验值分别为7 240、7 243 Hz,但误差仅0.04%。前两阶振幅误差较小,具有较高的吻合度。在图中的5 200 Hz仿真FRF曲线处存在一个反向固频是两条曲线不吻合之处,究其原因,与第3.4.1节所述一致是刀具模型简化造成的。而在其他频率范围内,实验值与预测值基本一致,说明辨识的结合部刚度和阻尼精度能够有效预测刀尖频率响应函数。
4 结 论1)基于二自由度系统建立了结合部动力学理论模型,基于谐响应理论推导了刚度、阻尼、质量与固有频率和振动幅值关系的数学模型。
2)提出了设计变量归一化的处理方法,解决了因采样区间较大采样点无法合理分布的问题;采用了采样点构造的优化方法调用有限元分析,有效的减少了调用ANSYS分析的次数,具有高效和高精度等优点。
3)通过分析刚度和阻尼信息对结构动力学固有频率和振幅的影响,发现刚度和阻尼分别是结构固有频率和振幅的主要影响因子,故刚度和阻尼参数均是准确预测刀尖FRF的前提。
4)基于非刀尖点辨识的刚度和阻尼信息对刀尖FRF进行预测,通过实验方式验证了方法的可行性,谐响应分析的仿真与实测两频率响应曲线的高拟合性,尤其式固有频率误差最大仅为0.04%,说明了方法的可靠性。
5)准确地辨识刀柄结合部的动力学参数和预测刀尖频响函数曲线,为下一步整机分析避免切削过程中震颤和获取稳定性切屑叶瓣图提供了数据支持。
| [1] |
汪博,孙伟,闻邦椿. 考虑主轴–刀柄–刀具结合面的高速主轴系统动力学特性有限元建模[J]. 机械工程学报, 2012, 48(15): 83-89. |
| [2] |
汪博,孙伟,太兴宇,等. 主轴系统结合面对主轴系统动力学特性的影响分析[J]. 振动与冲击, 2011, 30(10): 231-235. DOI:10.3969/j.issn.1000-3835.2011.10.046 |
| [3] |
Ertürk A,Özgüven H N,Budak E. Analytical modeling of spindle–tool dynamics on machine tools using Timoshenko beam model and receptance coupling for the prediction of tool point FRF[J]. International Journal of Machine Tools & Manufacture, 2006, 46(15): 1901-1912. |
| [4] |
Tony L S,Kevin P,Dongki W,et al. Shrink fit tool holder connection stiffness/damping modeling for frequency response prediction in milling[J]. International Journal of Machine Tools and Manufacture, 2007, 47(9): 1368-1380. DOI:10.1016/j.ijmachtools.2006.08.009 |
| [5] |
Özşahin O,Ertürk A,Özgüven H N. et al. A closed-form approach for identification of dynamical contact parameters in spindle–holder–tool assemblies[J]. International Journal of Machine Tools & Manufacture, 2009, 49(1): 25-35. |
| [6] |
陈建,王贵成,田良,等. 高速中空热装刀柄–刀具结合部的建模与参数辨识[J]. 上海交通大学学报, 2016, 50(7): 1005-1010. DOI:10.3969/j.issn.1674-8115.2016.07.010 |
| [7] |
陈建,王贵成,田良,等. 基于结合部的HSK主轴-刀柄系统动态特性分析[J]. 中国机械工程, 2016, 27(3): 296-301. DOI:10.3969/j.issn.1004-132X.2016.03.003 |
| [8] |
Namazi M,Altintas Y,Abe T,et al. Modeling and identification of tool holder–spindle interface dynamics[J]. International Journal of Machine Tools & Manufacture, 2007, 47(9): 1333-1341. |
| [9] |
董冠华,殷勤,刘蕴,等. 基于模态分析理论的结合部动刚度辨识[J]. 振动与冲击, 2017, 36(20): 125-131. |
| [10] |
孙明楠,米良,干静,等. 数控机床导轨结合部动态特性参数优化识别方法研究[J]. 四川大学学报(工程科学版), 2012, 44(3): 217-223. |
| [11] |
汪中厚,袁可可,李刚. 基于响应面法的滑动结合面动态特性参数优化识别[J]. 中国机械工程, 2016, 27(5): 622-626. DOI:10.3969/j.issn.1004-132X.2016.05.009 |
| [12] |
楼江雷,唐进元. 基于CAE/CAT/CAO的齿轮箱轴承结合部等效刚度识别方法[J]. 振动与冲击, 2014, 33(23): 81-86. |
| [13] |
廖伯瑜,周新民,尹志宏.现代机械动力学及其工程应用[M].北京:机械工业出版社,2003:235–250.
|
2019, Vol. 51














