2. 中国工程物理研究院 机械制造工艺研究所,四川 绵阳 621999;
3. 四川大学 机械工程学院,四川 成都 610065
2. Inst. of Machinery Manufacturing Technol., China Academy of Eng. Physics, Mianyang 621999, China;
3. School of Mechanical Eng., Sichuan Univ., Chengdu 610065, China
在机床加工空间内,切削成形点实际位置与理想位置的偏差称为空间误差[1],直接影响着零件加工精度。目前,由于机床空间误差较大导致零件加工精度不足的问题严重制约着国产数控机床产业发展,已成为我国数字制造装备精度领域亟待解决的重大共性问题[2]。为此,研究建立完备的机床空间误差预测模型,并基于此探索机床空间误差补偿策略与实施技术具有较高的理论意义和工程价值。
在机床空间误差建模方法研究方面,国内外学者通常以多体系统理论及齐次坐标矩阵变换为理论基础。Cong等[3]利用该方法建立了5轴机床空间误差模型,并通过空间体对角线定位精度测量实验验证了该模型的有效性;Vahebi等[4]考虑了三轴机床拓扑结构对空间误差的影响,将机床平动轴划分为挤压型和滑动型,运用齐次坐标矩阵变换建立了三轴数控机床空间误差模型,并通过球杆仪测试机床两轴联动圆度误差,验证了模型的准确性;Xiang等[5]在多体系统理论基础上引入了奇异函数,分别建立了三轴和五轴机床空间误差的广义模型;王维等[6]对几何误差和热误差进行了协同分析,建立了机床“几何–热”致综合空间误差数学模型。
由于机床的空间误差是其几何误差元素综合作用的结果[7],因此针对后者进行精确辨识,成为空间误差建模的关键环节。Bui等[8]提出了分步空间三面对角线法,并充分考虑了测试镜组安装误差的影响机制,建立了较精准的误差元素辨识模型;Desai等[9]提出了将三轴机床的几何误差元素辨识转化为一类最优化问题,与传统辨识方法相比在辨识速率上有一定提升;刘又午等[10]提出了“22线法”、“14线法”及“9线法”等几何误差元素辨识方法,具有较强的可操作性及较高的可重复性;田文杰等[11]针对“9线法”中存在的原理性误差问题,提出了改进的辨识方法及原理性误差修正方法,进一步提高了误差元素辨识精确性。
相较于在线实时补偿,基于NC代码的机床空间误差补偿技术通用性较好,不涉及更改数控系统底层控制架构的问题;加之NC代码补偿可直接与数控系统进行封闭数据交换,不存在时滞现象,使其成为现阶段机床空间误差补偿的主流方法之一。文献[12]提出了一种基于NC代码的5轴机床几何误差解耦补偿方法,并利用补偿后的NC代码进行凸轮切削实验,对补偿有效性进行了评估;文献[13]基于空间误差预测结果,通过对NC代码实施逆向叠加修正,达到空间误差补偿的目的,并借助标准件切削实验对补偿方法有效性进行了验证。
目前,机床空间误差建模方法与补偿技术已成为数字制造装备精度领域研究热点,国内外科研人员取得了较多成果,并示范应用于精密制造工程。然而多数情况下,零件加工精度仍难以满足预期要求,这是由于现有研究成果普遍存在如下两点局限性:1)机床空间误差模型完备性缺失。构建机床空间误差模型时,大多数学者忽略了各运动部件坐标系间初始相对位置关系及原始误差特征,导致空间误差模型显式表达式中缺失若干项几何误差元素[5-7,14-18],影响空间误差预测精度;2)基于NC代码的空间误差补偿技术存在残差。传统基于NC代码的补偿方法[12-13]未考虑到空间误差是切削成形点空间位置的函数,因此切削成形点位于补偿指令位置坐标和目标位置坐标时的空间误差并不一致,导致补偿后切削成形点仍无法到达目标位置,即空间误差补偿存在残差。
针对上述问题,以多体系统理论与齐次坐标矩阵变换为理论基础,充分考虑机床各运动部件局部坐标系初始相对位置关系及原始误差特征的基础上,联合“9线法”机床几何误差元素辨识技术,最终实现构建机床空间误差完备模型;进而,提出基于空间误差完备模型的NC代码优化补偿新策略,利用遗传算法对NC代码优化指令坐标值进行求解,消除空间误差补偿残差;最后,以某型卧式加工中心为平台,利用激光干涉仪开展空间体对角线定位精度测量实验,对所提机床空间误差完备模型建立方法及优化补偿技术进行验证。
1 机床空间误差完备建模方法 1.1 机床几何误差元素定义机床任一部件沿某坐标轴进给时,存在空间6个自由度方向的几何误差元素。以卧式加工中心为例,当机床运动部件沿X轴进给时,将产生6项几何误差元素,分别是X向定位误差元素δx(x)、Y向直线度误差元素δy(x)、
同理,当机床运动部件分别沿Y、
| 表1 三轴机床几何误差元素 Tab. 1 Geometric error elements of three-axis machine tool |
![]() |
1.2 机床拓扑结构描述
多体系统是指由多个刚体和柔体通过某种形式联结而成的复杂系统,任何机械系统均可视作多体系统[19]。一般地,可运用式(1)~(5)对多体系统进行拓扑结构描述。
当体V的n阶低序体为体S时,则:
| ${L^n}(V) = S$ | (1) |
| ${L^n}(V) = L({L^{n - 1}}(V)) = S$ | (2) |
式中,L为低序体算子。当体V和体S是相邻体,且体S是体V的低序体时,则:
| $L(V) = S$ | (3) |
此外,存在一些特殊的定义:
| ${L^0}(V) = V$ | (4) |
| ${L^0}(0) = 0$ | (5) |
图1为某型三轴机床结构简图,其机床坐标系
![]() |
| 图1 三轴机床结构简图 Fig. 1 Three axis machine tool structure diagram |
![]() |
| 图2 三轴机床拓扑结构 Fig. 2 Three axis machine tool topology |
| 表2 三轴机床多体系统低序体阵列 Tab. 2 Three axis machine tool multi-body system low order volume array |
![]() |
表2中,V为多体系统各体序号,Ln(V)(n=0,1,2,3)为体V的n阶低序体序号。
1.3 机床空间误差完备建模基于图2,在各体上建立固连局部坐标系Ck(k=0,1,…,5)。其中,C0系原点与
在多体系统理论中,体间实际位置关系取决于二者初始位置、相对运动关系及其对应误差。因此,体V与其相邻低序体S间实际位置关系特征矩阵Tsv可表示为[19]:
| ${{{T}}_{\rm sv}} = {{{T}}_{\rm sv,p}}{{{T}}_{\rm sv,pe}}{{{T}}_{\rm sv,s}}{{{T}}_{\rm sv,se}}$ | (6) |
式中,Tsv,p、Tsv,pe、Tsv,s及Tsv,se分别为相邻体初始位置特征矩阵、位置误差特征矩阵、理想运动特征矩阵及运动误差特征矩阵。
| 表3 机床相邻体间特征矩阵 Tab. 3 Machine tool adjacent body feature matrix |
![]() |
表3中,I4×4为4阶单位矩阵,其他矩阵见式(7):
| $ \begin{array}{l} {{{T}}_{\rm 01,pe}} = \left[ {\begin{array}{*{20}{c}} 1&0&{{S\!_{{\textit{z}}x}}}&0\\ 0&1&{ - {S\!_{y{\textit{z}}}}}&0\\ { - {S\!_{{\textit{z}}x}}}&{{S\!_{y{\textit{z}}}}}&1&0\\ 0&0&0&1 \end{array}} \right], \end{array} $ |
| $ \begin{array}{l} {{{T}}_{\rm 34,pe}} = \left[ {\begin{array}{*{20}{c}} 1&{ - {S\!_{xy}}}&0&0\\ {{S\!_{xy}}}&1&0&0\\ 0&0&1&0\\ 0&0&0&1 \end{array}} \right], \end{array}$ |
| $ \begin{array}{l} {{{T}}_{\rm 01,s}} = \left[ {\begin{array}{*{20}{c}} 1&0&0&0\\ 0&1&0&0\\ 0&0&1&{\textit{z}}\\ 0&0&0&1 \end{array}} \right],{{{T}}_{\rm 03,s}} = \left[ {\begin{array}{*{20}{c}} 1&0&0&x\\ 0&1&0&0\\ 0&0&1&0\\ 0&0&0&1 \end{array}} \right],\end{array} $ |
| $ \begin{array}{l} {{{T}}_{\rm 34,s}} = \left[ {\begin{array}{*{20}{c}} 1&0&0&0\\ 0&1&0&y\\ 0&0&1&0\\ 0&0&0&1 \end{array}} \right], \end{array} $ |
| $ {\begin{aligned}[b] {{{{T}}_{\rm 01,se}} = \left[ {\begin{array}{*{20}{c}} 1&{ - {\varepsilon _{\textit{z}}}({\textit{z}})}&{{\varepsilon _y}({\textit{z}})}&{{\delta _x}({\textit{z}})}\\ {{\varepsilon _{\textit{z}}}({\textit{z}})}&1&{ - {\varepsilon _x}({\textit{z}})}&{{\delta _y}({\textit{z}})}\\ { - {\varepsilon _y}({\textit{z}})}&{{\varepsilon _x}({\textit{z}})}&1&{{\delta _{\textit{z}}}({\textit{z}})}\\ 0&0&0&1 \end{array}} \right]},\\ {{{{T}}_{\rm 03,se}} = \left[ {\begin{array}{*{20}{c}} 1&{ - {\varepsilon _{\textit{z}}}(x)}&{{\varepsilon _y}(x)}&{{\delta _x}(x)}\\ {{\varepsilon _{\textit{z}}}(x)}&1&{ - {\varepsilon _x}(x)}&{{\delta _y}(x)}\\ { - {\varepsilon _y}(x)}&{{\varepsilon _x}(x)}&1&{{\delta _{\textit{z}}}(x)}\\ 0&0&0&1 \end{array}} \right]},\\ {{{{T}}_{\rm 34,se}} = \left[ {\begin{array}{*{20}{c}} 1&{ - {\varepsilon _{\textit{z}}}(y)}&{{\varepsilon _y}(y)}&{{\delta _x}(y)}\\ {{\varepsilon _{\textit{z}}}(y)}&1&{ - {\varepsilon _x}(y)}&{{\delta _y}(y)}\\ { - {\varepsilon _y}(y)}&{{\varepsilon _x}(y)}&1&{{\delta _{\textit{z}}}(y)}\\ 0&0&0&1 \end{array}} \right]} \end{aligned}} $ | (7) |
式中,x、y、
值得说明的是,与已有研究方法不同:由于Ck系各原点并不重合,故各体间初始位置特征矩阵不再是单位阵,即:
| ${{{T}}_{\rm sv,p}} \ne {{{I}}_{4 \times 4}}$ |
这是确保空间误差模型完备性的关键所在。并且根据机床各部件局部坐标相对关系,可得:
| $\left\{ {\begin{array}{*{20}{c}} {{{{T}}_{\rm 01,p}} = \left[ {\begin{array}{*{20}{c}} 1&0&0&{{x_{01}}} \\ 0&1&0&{{y_{01}}} \\ 0&0&1&{{{\textit{z}}_{01}}} \\ 0&0&0&1 \end{array}} \right]},\\{{{{T}}_{\rm 12,p}} = \left[ {\begin{array}{*{20}{c}} 1&0&0&{{x_{1w}}} \\ 0&1&0&{{y_{1w}}} \\ 0&0&1&{{{\textit{z}}_{1w}}} \\ 0&0&0&1 \end{array}} \right]}, \\ {{{{T}}_{\rm 03,p}} = \left[ {\begin{array}{*{20}{c}} 1&0&0&{{x_{03}}} \\ 0&1&0&{{y_{03}}} \\ 0&0&1&{{{\textit{z}}_{03}}} \\ 0&0&0&1 \end{array}} \right]},\\{{{{T}}_{\rm 34,p}} = \left[ {\begin{array}{*{20}{c}} 1&0&0&{{x_{34}}} \\ 0&1&0&{{y_{34}}} \\ 0&0&1&{{{\textit{z}}_{34}}} \\ 0&0&0&1 \end{array}} \right]} \end{array}} \right.$ | (8) |
式中:
由图2可知,机床刀具运动链和工件运动链末端交点P即为切削成形点。设切削成形点P在C2系和C5系下的齐次坐标分别为Pt=[xtp,ytp,
| ${{E}} = {{P}}_w^{\rm actual} - {{P}}_w^{\rm ideal} = {\left[ {\Delta x},{\Delta y},{\Delta {\textit{z}}},0 \right]^{\rm T}}$ | (9) |
式中:E为机床空间误差矢量;
将表3中各特征矩阵代入式(9)中,即可计算得机床空间误差。
| $\left\{\!\!\!\! {\begin{array}{*{20}{l}} \quad \Delta x \! = \! {\delta _x}(x) \! +\! {\delta _x}(y)\! -\! {\delta _x}({\textit{z}}) \! +\! ({y_{03}} \! -\! {y_{01}} \! +\! {y_{34}}\! +\! {y_{4t}} \! +\! {y_{tp}} \! +\! y) \cdot \\ {\varepsilon _{\textit{z}}}({\textit{z}}) \! -({y_{4t}} \! +\! {y_{tp}}) \cdot {\varepsilon _{\textit{z}}}(y) \! +\! ({{\textit{z}}_{4t}}\! + \!{{\textit{z}}_{tp}}) \cdot {\varepsilon _y}(y)\! - \! ({y_{34}} \! +\! {y_{4t}} + {y_{tp}} + y) \cdot \\ {\varepsilon _{\textit{z}}}(x) -({{\textit{z}}_{03}} + {{\textit{z}}_{34}} + {{\textit{z}}_{4t}} + {{\textit{z}}_{tp}} + {{\textit{z}}_{01}} + {\textit{z}}) \cdot {\varepsilon _y}({\textit{z}}) + ({{\textit{z}}_{34}} + {{\textit{z}}_{4t}} + {{\textit{z}}_{tp}}) \cdot \\ {\varepsilon _y}(x)+({y_{4t}} + {y_{tp}} + y) \cdot {S_{xy}} + ({{\textit{z}}_{03}} + {{\textit{z}}_{34}} + {{\textit{z}}_{4t}} + {{\textit{z}}_{tp}} - {{\textit{z}}_{01}}) \cdot {S_{{\textit{z}}x}} ,\\ \quad \Delta y\! =\! {\delta _y}(x) \!+\! {\delta _y}(y) \!- \!{\delta _y}({\textit{z}}) \!+\! ({{\textit{z}}_{03}}\! +\! {{\textit{z}}_{34}} \!+\! {{\textit{z}}_{4t}}\! +\! {{\textit{z}}_{tp}} \!- \!{{\textit{z}}_{01}} \!- \!{\textit{z}}) \cdot \\ {\varepsilon _x}({\textit{z}})\! - ({x_{03}} \!+ {x_{34}}\! +\! {x_{4t}}\! +\! {x_{tp}} \!+\! {x_{01}} \!+ \!x) \cdot {\varepsilon _{\textit{z}}}({\textit{z}}) \!+\! ({x_{34}} \!+ \!{x_{4t}} \!+ \!{x_{tp}}) \cdot \\ {\varepsilon _{\textit{z}}}(x) -({{\textit{z}}_{34}} - {{\textit{z}}_{4t}} - {{\textit{z}}_{tp}}) \cdot {\varepsilon _x}(x) + ({x_{4t}} + {x_{tp}}) \cdot {\varepsilon _{\textit{z}}}(y) - ({{\textit{z}}_{4t}} + {{\textit{z}}_{tp}}) \cdot \\ {\varepsilon _x}(y) -({x_{4t}} + {x_{tp}}) \cdot {S_{xy}} + ({{\textit{z}}_{4t}} + {{\textit{z}}_{tp}}) \cdot {S_{y{\textit{z}}}}, \\ \quad \Delta {\textit{z}} \!= \!{\delta _{\textit{z}}}(x) \!+ \!{\delta _{\textit{z}}}(y) \!-\! {\delta _{\textit{z}}}({\textit{z}}) \!-\! ({y_{03}} \!-\! {y_{01}} \!+\! {y_{34}} \!+ \!{y_{4t}}\! +\! {y_{tp}} \!+\! y) \cdot \\ {\varepsilon _x}({\textit{z}}) \!+ ({x_{03}} \!+\! {x_{34}}\! +\! {x_{4t}} \!+\! {x_{tp}} \!-\! {x_{01}}\! + \!x) \cdot {\varepsilon _y}({\textit{z}}) \! +\! ({y_{34}} \!+\! {y_{4t}}\! +\! {y_{tp}} \!+\! y) \cdot\\ {\varepsilon _x}(x) \!- ({x_{34}} \!+\! {x_{4t}} \!+\! {x_{tp}}) \cdot {\varepsilon _y}(x) \!-\! ({x_{4t}} \!+\! {x_{tp}}) \cdot {\varepsilon _y}(y) \!+\! ({y_{4t}} + {y_{tp}}) \cdot \\ {\varepsilon _x}(y)- ({y_{4t}}\! +\! {y_{tp}} + y) \cdot {S_{y{\textit{z}}}}\! -\! ({x_{03}} + {x_{34}} \!+\! {x_{4t}}\!+\! {x_{tp}}\! - \!{x_{01}}\! +\! x) \cdot {S_{{\textit{z}}x}} \end{array}} \right.$ | (10) |
对式(10)进行分析不难发现,空间误差E包含了表1中全部21项几何误差元素,确保了其模型的完备性,至此实现了三轴机床空间误差完备性建模,其方法体系可表达为如图3所示流程。
![]() |
| 图3 机床空间误差完备建模流程 Fig. 3 Complete modeling flow for machine tool volumetric error |
2 机床几何误差元素辨识
基于“9线法”理论[10-11]对机床几何误差元素进行辨识时,为区别几何误差元素辨识结果和实验观测数据,一般将后者称为偏差[20]。如图4所示以X轴进给为例,当机床运动部件沿X向空间3条测量线进给时,测量偏差(定位偏差、直线度偏差)与几何误差元素间存在式(11)所示关系,联立各式即可辨识得X轴6项几何误差元素。同理,可辨识得机床Y、Z轴几何误差元素。
![]() |
| 图4 “9线法”偏差测量原理 Fig. 4 “9-line method” deviation measurement principle |
| $\left\{ \!\!\!\!{\begin{array}{*{20}{c}} {\Delta {x_1}(x) = {\delta _x}(x) - {y_1} \cdot {\varepsilon _{\textit{z}}}(x) + {{\textit{z}}_1} \cdot {\varepsilon _y}(x)}, \\ {\Delta {y_1}(x) = {\delta _y}(x) - {{\textit{z}}_1} \cdot {\varepsilon _x}(x) + {x_1} \cdot {\varepsilon _{\textit{z}}}(x)} , \\ {\Delta {{\textit{z}}_1}(x) = {\delta _{\textit{z}}}(x) - {x_1} \cdot {\varepsilon _y}(x) + {y_1} \cdot {\varepsilon _x}(x)} , \\ {\Delta {x_2}(x) = {\delta _x}(x) - {y_2} \cdot {\varepsilon _{\textit{z}}}(x) + {{\textit{z}}_2} \cdot {\varepsilon _y}(x)}, \\ {\Delta {y_2}(x) = {\delta _y}(x) - {{\textit{z}}_2} \cdot {\varepsilon _x}(x) + {x_2} \cdot {\varepsilon _{\textit{z}}}(x)}, \\ {\Delta {x_3}(x) = {\delta _x}(x) - {y_3} \cdot {\varepsilon _{\textit{z}}}(x) + {{\textit{z}}_3} \cdot {\varepsilon _y}(x)} \end{array}} \right.$ | (11) |
各进给轴间垂直度误差元素Sxy、
| ${S_{12}} = {\theta _1} - {\theta _2} = \arctan \frac{{\Delta 2(1)}}{{{L_1}}} - \arctan \frac{{\Delta 1(2)}}{{{L_2}}}$ | (12) |
式中,S12为轴1、2间垂直度误差元素,L1、L2分别为轴1、轴2进给位移,
传统基于NC代码的空间误差补偿思想是:如图5(a)所示,将初始NC代码目标位置(即理想位置)坐标Pi,代入机床空间误差完备模型,预测切削成形点位于各目标位置时的空间误差E;考虑到此空间误差的作用,导致成形点实际偏移至坐标为Pa的位置,故将空间误差逆向叠加至Pi,进而得到NC代码补偿坐标Pc,即:
![]() |
| 图5 基于NC代码的空间误差补偿示意图 Fig. 5 Schematic diagram of volumetric error compensation based on NC code |
| $\left\{ \!\!\!\!{\begin{array}{*{20}{c}} {{{E}} = {{{P}}_{\rm a}} - {{{P}}_{\rm i}}}, \\ {{{{P}}_{\rm c}} = {{{P}}_{\rm i}} - {{E}}} \end{array}} \right.$ | (13) |
然而,上述空间误差补偿方法存在补偿残差。由于空间误差是与切削成形点位置相关的函数,故当成形点分别位于位置坐标Pi和Pc时,所得空间误差并不一致。因此,若按式(13)计算得补偿坐标Pc并执行进给后,切削成形点将最终定位于Pce,而非Pi。为清除Pce与Pi间的补偿残差,提出一种新的NC代码补偿策略,其主体思路是:将NC补偿指令坐标的逆向叠加求解转化为最优化设计问题。通过寻找优化指令坐标P0,使数控系统按此坐标执行进给指令后,切削成形点在空间误差E0的作用下实际偏移至目标位置Pi,如图5(b)所示,即:
| ${{{P}}_0} + {{{E}}_0}{\rm{ = }}{{{P}}_{\rm i}}$ | (14) |
针对上述最优化问题,构建如下优化目标:
| $\min f({{{P}}_0}){\rm{ = min}}\sum\limits_{n = 1}^3 {{{({P_{0n}} + {E_{0n}} - {P_{{\rm i}n}})}^2}} $ | (15) |
即插补终点补偿后位置与理想位置各轴偏差平方和最小。式中,n=1、2、3分别代表X、Y、
选取优化指令坐标为设计变量:
| ${{{P}}_0} = \left( {{P_{0x}},{P_{0y}},{P_{0{\textit{z}}}}} \right)$ | (16) |
由实验数据可知,此机床空间误差在单一方向的偏差未大于0.05 mm,故存在如下约束条件:
| ${\rm{s}}.{\rm{t}}.\left\{ {\begin{aligned} & {{P_{ix}} - 0.05 \le {P_{0x}} \le {P_{ix}} + 0.05}, \\ & {{P_{iy}} - 0.05 \le {P_{0y}} \le {P_{iy}} + 0.05} ,\\ & {{P_{i{\textit{z}}}} - 0.05 \le {P_{0{\textit{z}}}} \le {P_{i{\textit{z}}}} + 0.05} \end{aligned}} \right.$ | (16) |
结合前文已建空间误差完备模型,上述基于NC代码的空间误差补偿新策略可表示为图6所示流程,较好地解决了传统补偿技术中存在残差的问题。
![]() |
| 图6 基于NC代码的空间误差补偿新策略 Fig. 6 New strategy of volumetric error compensation based on NC code |
4 算例与验证 4.1 几何误差元素辨识
以某型卧式加工中心为研究对象,其拓扑结构描述与图2相同。选择Renishaw激光干涉仪XL–80作为测量仪器,实验在(20±0.5) ℃恒温环境中进行,实验平台搭建如图7所示,被测空间尺寸为(X:500 mm,Y:400 mm,
![]() |
| 图7 基于激光干涉仪的几何偏差测量实验平台 Fig. 7 Experimental platform for geometric deviation measurement based on laser interferometer |
![]() |
| 图8 X轴测量偏差与几何误差元素 Fig. 8 X axis measurement error and geometric error element |
![]() |
| 图10 Z轴测量偏差与几何误差元素 Fig. 10 Z axis measurement error and geometric error element |
![]() |
| 图9 Y轴测量偏差与几何误差元素 Fig. 9 Y axis measurement error and geometric error element |
4.2 空间误差预测与验证
利用最小二乘法[21]将第4.1节中几何误差元素离散辨识结果拟合为进给轴位置的多项式函数,并代入式(10)对加工中心进行空间误差预测。如图11(a)、(b)所示分别为该空间内切削成形点理想位置和预测位置的分布状态。不难看出,加工中心作进给运动时,在21项几何误差元素综合作用下,切削成形点将会发生偏移。各点预测位置与其对应理想位置间的矢量差即为空间误差,亦即空间定位精度。
![]() |
| 图11 切削成形点空间分布 Fig. 11 Volumetric distribution of cutting forming points |
根据ISO 230—6:2002标准[22],在被测加工空间内开展空间体对角线定位精度测量实验,以便对空间误差预测结果进行验证。如图12所示为被测空间4条体对角线布局示意,P、N分别代表进给轴的正、负方向。为满足空间体对角线测量路径需求,X、Y、
![]() |
| 图12 空间体对角线 Fig. 12 Diagonal of space body |
![]() |
| 图13 空间体对角线定位精度测量实验平台 Fig. 13 Experimental platform for measuring diagonal positioning accuracy of space body |
![]() |
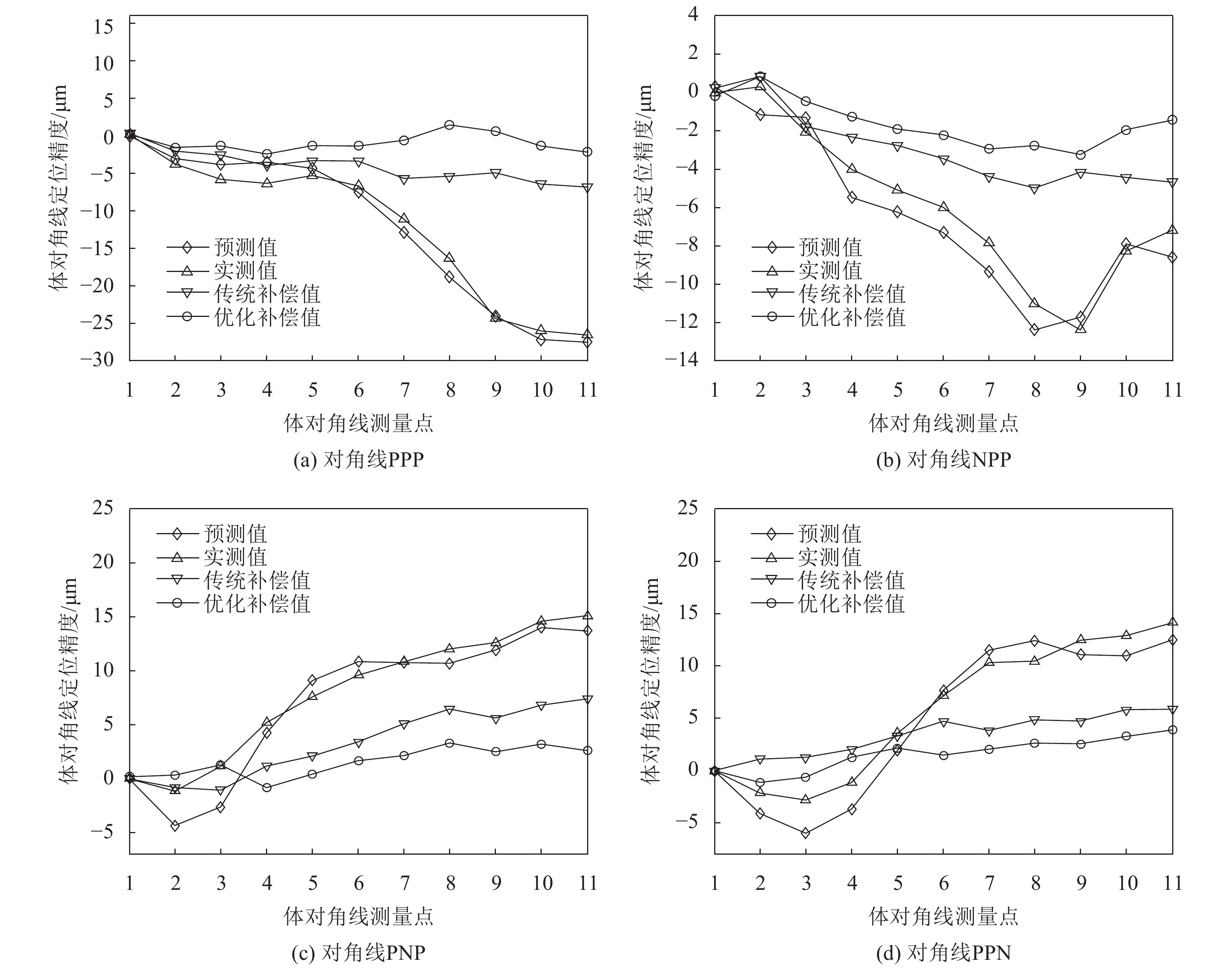
| 图14 体对角线定位精度预测值、实测值及补偿值对比 Fig. 14 Comparison of predicted values, measured values and compensation values of body diagonal positioning accuracy |
| 表4 体对角线空间定位精度预测值与实测值 Tab. 4 Prediction accuracy and measured value of positioning accuracy in body diagonal space |
![]() |
4.3 NC代码优化补偿技术验证
利用遗传算法[23]对NC代码进行优化求解,在进行空间体对角线定位精度测试时,分别执行传统补偿代码和优化补偿代码,以验证优化补偿策略的有效性。以PPP对角线为例,实验结果如图14中传统补偿值曲线和优化补偿值曲线及表5中数据所示。
| 表5 体对角线定位精度补偿结果对比 Tab. 5 Comparison of compensation results for body diagonal positioning accuracy |
![]() |
当未采取任何补偿措施时,测点空间定位精度最低值为–26.53 μm;采用传统NC代码逆向叠加方法进行补偿后,空间定位精度有一定改善,最低值为–6.80 μm;而利用优化方法进行补偿后,空间定位精度将得到较显著提升,最低值仅为–2.41 μm。相较于未补偿而言,优化补偿方法使加工中心空间定位精度提升幅度达90.92%。通过表5中数据对比说明,所提优化补偿方法能消除补偿残差,较之传统NC代码补偿方法更能有效地提高空间定位精度。
5 结 论针对目前机床空间误差建模完备性缺失的问题,在充分考虑机床各运动部件坐标系初始位置关系及原始误差特征的基础上,借助多体系统理论及齐次坐标变换建立了三轴联动机床空间误差完备模型,包括了机床全部21项几何误差元素;进而,面向传统基于NC代码空间误差补偿技术中存在残差的局限性,提出了NC指令代码优化补偿新策略,并利用遗传算法对优化指令代码进行了求解;最后,以某型卧式加工中心为实验平台,通过在被测空间内实施体对角线定位精度测量实验,对所提空间误差完备建模方法及NC代码优化补偿技术进行了验证。数据对比显示,机床空间误差完备模型预测结果与实验测试值较吻合,且优化补偿后机床空间定位精度有了进一步提升,最大增幅达90.92%。研究成果为探索数字制造装备精度问题提供了理论与数据支撑。
| [1] |
Su Shiping,Li Shengyi,Wang Guilin. Geometric error identification method of machining center based on volumetric error error model[J]. Chinese Journal of Mechanical Engineering, 2002, 38(7): 121-125. [粟时平,李圣怡,王贵林. 基于空间误差模型的加工中心几何误差辨识方法[J]. 机械工程学报, 2002, 38(7): 121-125. DOI:10.3321/j.issn:0577-6686.2002.07.026] |
| [2] |
Du Zhengchun,Yang Jianguo,Feng Qibo. Research status and trend of geometric error measurement for CNC machine tools[J]. Aeronautical Manufacturing Technology, 2017, 60(6): 34-44. [杜正春,杨建国,冯其波. 数控机床几何误差测量研究现状及趋势[J]. 航空制造技术, 2017, 60(6): 34-44. DOI:10.16080/j.issn1671-833x.2017.06.034] |
| [3] |
Cong D C,Chinh B B,Jooho H. Volumetric error model for multi-axis machine tools[J]. Procedia Manufacturing, 2015, 1: 1-11. DOI:10.1016/j.promfg.2015.09.023 |
| [4] |
Vahebi M,Arezoo B. Accuracy improvement of volumetric error modeling in CNC machine tools[J]. International Journal of Advanced Manufacturing Technology, 2018, 95(5/6/7/8): 2243-2257. DOI:10.1007/s00170-017-1294-x |
| [5] |
Xiang Sitong,Yang Jianguo,Fan Kaiguo,et al. Multi-machine tools volumetric error generalized modeling and Ethernet-based compensation technique[J]. Proceedings of the Institution of Mechanical Engineers (Part B):Journal of Engineering Manufacture, 2016, 230(5): 202-211. DOI:10.1177/0954405414564407 |
| [6] |
Wang Wei,Yang Jianguo,Yao Xiaodong,et al. Synthesis modeling and real-time compensation of geometric error and thermal error for CNC machine tools[J]. Chinese Journal of Mechanical Engineering, 2012, 48(7): 165-170. [王维,杨建国,姚晓栋,等. 数控机床几何误差与热误差综合建模及其实时补偿[J]. 机械工程学报, 2012, 48(7): 165-170. DOI:10.3901/JME.2012.07.165] |
| [7] |
Cheng Qiang,Liu Guangbo,Liu Zhifeng,et al. An identification approach for key geometric error sources of machine tool based on sensitivity analysis[J]. Chinese Journal of Mechanical Engineering, 2012, 48(7): 171-179. [程强,刘广博,刘志峰,等. 基于敏感度分析的机床关键性几何误差源识别方法[J]. 机械工程学报, 2012, 48(7): 171-179. DOI:10.3901/JME.2012.07.171] |
| [8] |
Bui C B,Hwang J,Lee C H,et al. Three-face step-diagonal measurement method for the estimation of volumetric positioning errors in a 3D workspace[J]. International Journal of Machine Tools & Manufacture, 2012, 60: 40-43. DOI:10.1016/j.ijmachtools.2012.03.005 |
| [9] |
Desai K A,Shah S V,Suryan V.Geometric error identification of three-axis machine tools[C]//International & All India Manufacturing Technology,Design and Research Conference,Pune:2016.
|
| [10] |
Liu Youwu,Liu Libing,Zhao Xiaosong,et al. Research on error compensation technology of CNC machine tools[J]. China Mechanical Engineering, 1998(12): 4852-4852. [刘又午,刘丽冰,赵小松,等. 数控机床误差补偿技术研究[J]. 中国机械工程, 1998(12): 4852-4852. DOI:10.3321/j.issn:1004-132X.1998.12.015] |
| [11] |
Tian Wenjie,Niu Wentie,Chang Wenfen,et al. Research on geometric error tracking of CNC machine tools[J]. Chinese Journal of Mechanical Engineering, 2014, 50(7): 128-135. [田文杰,牛文铁,常文芬,等. 数控机床几何精度溯源方法研究[J]. 机械工程学报, 2014, 50(7): 128-135. DOI:10.3901/JME.2014.07.128] |
| [12] |
Hsu Y Y,Wang S S. A new compensation method for geometry errors of five-axis machine tools[J]. International Journal of Machine Tools & Manufacture, 2007, 47(2): 352-360. DOI:10.1016/j.ijmachtools.2006.03.008 |
| [13] |
Zhu Shaowei,Ding Guofu,Qin Shengfeng,et al. Integrated geometric error modeling,identification and compensation of CNC machine tools[J]. International Journal of Machine Tools & Manufacture, 2012, 52(1): 24-29. DOI:10.1016/j.ijmachtools.2011.08.011 |
| [14] |
Yang Jixiang,Ding Han. A new position independent geometric errors identification model of five-axis serial machine tools based on differential motion matrices[J]. International Journal of Machine Tools & Manufacture, 2016, 104: 68-77. DOI:10.1016/j.ijmachtools.2016.02.001 |
| [15] |
Cheng Qiang,Wu Can,Gu Peihua,et al. An analysis methodology for stochastic characteristic of volumetric error in multiaxis CNC machine tool[J]. Mathematical Problems in Engineering, 2013(3): 863283. |
| [16] |
Zhang Yi,Yang Jianguo,Xiang Sitong,et al. Volumetric error modeling and compensation considering thermal effect on five-axis machine tools[J]. Proceedings of Institution of Mechanical Engineers (Part C):Journal of Mechanical Engineering Science, 2013, 227(5): 1102-1115. DOI:10.1177/0954406212456475 |
| [17] |
Zhu Jia,Li Xingfei,Tan Wenbin,et al. Method of geometric error detection for measuring machine based on laser interferometer[J]. Chinese Journal of Mechanical Engineering, 2010, 46(10): 25-30. [朱嘉,李醒飞,谭文斌,等. 基于激光干涉仪的测量机几何误差检定技术[J]. 机械工程学报, 2010, 46(10): 25-30. DOI:10.3901/JME.2010.10.025] |
| [18] |
Fan Jinwei,Xing Yalan,Xi Yanmei,et al. Investigation of error modeling and error compensation of 3-axis NC machine[J]. Mechanical Design & Manufacture, 2008(9): 150-152. [范晋伟,邢亚兰,郗艳梅,等. 三坐标数控机床误差建模与补偿的实验研究[J]. 机械设计与制造, 2008(9): 150-152. DOI:10.3969/j.issn.1001-3997.2008.09.063] |
| [19] |
刘延柱,潘振宽,戈新生.多体系统动力学[M].2版.北京:高等教育出版社,2014.
|
| [20] |
Xu Yao,Wang Huifen,Liu Tingyu,et al. New error identification method for feed system of machine tools based on laser-corrected measurement[J]. Computer Integrated Manufacturing Systems, 2016, 22(10): 2408-2418. [徐尧,汪惠芬,刘庭煜,等. 基于激光修正测量的机床进给系统几何误差辨识新方法[J]. 计算机集成制造系统, 2016, 22(10): 2408-2418. DOI:10.13196/j.cims.2016.10.015] |
| [21] |
You Qiang,Xu Jinxin,Wang Gang,et al. Uncertainty evaluation for ordinary least-square fitting with arbitrary order polynomial in joule balance method[J]. Measurement Science & Technology, 2016, 27(1): 15010. |
| [22] |
ISO.Test code for machine tools(Part 6):Determination of positioning accuracy on body and face diagonals (diagonal displacement Tests)[S].ISO,2002.
|
| [23] |
Kalayci C B,Polat O,Gupta S M. A hybrid genetic algorithm for sequence-dependent disassembly line balancing problem[J]. Annals of Operations Research, 2016, 242(2): 321-354. DOI:10.1007/s10479-014-1641-3 |
2019, Vol. 51




















