钢管混凝土由于钢管和核心混凝土的相互作用,使钢管约束混凝土横向变形,而内填混凝土则限制钢管的向内屈曲,因此具有良好的力学性能[1-2]。钢管和核心混凝土的组合结构在桥梁、工业厂房、高层和超高层、地下工程以及空间等结构中都得到了广泛应用。然而,普通钢管混凝土构件外层钢管的耐腐蚀性较差,从而导致结构的耐久性降低,后期维修费用增加。为了解决这种问题,国内、外学者开展了大量不锈钢管混凝土新型组合结构的研究。
一些学者对不锈钢矩管和方管混凝土短柱轴压性能进行研究,纪官运[3]、Ding[4]和Ellobody[5]等研究了承载力计算方法,Ellobody[5]、Liao[6]、张伟杰[7]和Dabaon[8]等探索了强度影响因素,Tao[9]、Mutalib[10]和Dabaon[11]等进行了数值模拟。另有学者对圆不锈钢管混凝土轴压短柱的性能进行研究,Patel等[12]提出了一种纤维单元模型用于圆不锈钢管混凝土短柱的非线性分析,研究了影响构件性能的参数;廖飞宇[13]和徐晨豪[14]等采用ABAQUS有限元软件对圆不锈钢管混凝土进行非线性有限元数值模拟,并与试验结果进行了比较分析;Lam等[15]研究了混凝土强度对壁厚为2和6 mm的圆不锈钢管混凝土短柱承载力的影响,将试验结果与欧洲和美国规程进行对比,进而提出了一种连续强度法;胡成玺[16]在文献[15]试验研究的基础上,验证各国普通钢管混凝土规程中承载力计算公式的适用性,分析了多种参数对承载力的影响;陈誉等[17]对壁厚为0.9、1.0、1.2 mm不锈钢圆管混凝土短柱轴压承载力进行试验研究,分析了影响轴压短柱性能的因素;Uy等[18]对壁厚为1.2、1.6、2 mm的圆不锈钢管混凝土短、细截面柱进行了一系列试验,并将试验结果与传统钢管混凝土柱设计方法进行了比较,得出这些规范在预测短柱和细柱的承载力时比较保守;代鹏等[19]对壁厚为8、10、12 mm的奥氏体和双相型两种圆不锈钢管混凝土短柱进行轴压试验,并与普通钢管混凝土设计规程进行对比。
上述关于圆不锈钢管混凝土短柱轴压研究的文献中,对壁厚在3~6 mm之间的无缝圆不锈钢管混凝土轴压短柱的研究相对较少,由于钢管混凝土的尺寸效应非常明显[1],适合于圆不锈钢管混凝土短柱轴压承载力计算方法和抗压承载力模型还需进一步验证。基于此,作者以4种壁厚大于3 mm的奥氏体型圆不锈钢管混凝土短柱为研究对象进行轴压试验,观测试件的荷载–变形曲线、荷载–应变曲线,分析壁厚对试件承载力的影响,以及约束效应系数与强度和延性的关系,丰富该类研究的试验数据。随后,利用本文和其他研究者[15,17-19]的试验数据,研究普通钢管混凝土柱轴压承载力计算方法是否适用于圆不锈钢管混凝土短柱,并通过拟合的方法提出了该类短柱轴压承载力计算方法。最后,利用拟合公式推导了圆不锈钢管混凝土柱抗压承载力模型,并与4种不同模型进行比较。
1 试验概况 1.1 试件设计与制作试件采用奥氏体型不锈钢圆管,共4组,壁厚分别为3、4、5、6 mm,每组两个参数相同的试件,试件基本参数见表1。表1参数均取同组两试件的平均值。其中,D为试件的外径,
| 表1 试件参数 Tab. 1 Parameters of specimens |
![]() |
采用奥氏体304无缝不锈钢圆管,按照《金属材料拉伸试验:第1部分:室温试验方法》(GB/T228.1—2010)[20]的标准进行检测,测得不锈钢钢材名义屈服强度
![]() |
| 图1 试件制作 Fig. 1 Fabrication of specimens |
1.2 试验加载方案及测点布置
试验在2 000 kN电液伺服万能试验机上进行,试验荷载和应变等数据信息通过数据采集系统自动采集。利用文献[1]的叠加法
![]() |
| 图2 加载系统和测点布置 Fig. 2 Test setup and arrangement of strain gauges |
2 试验结果及分析 2.1 试验现象
对试验全过程的观察表明:试件在加载初期(弹性阶段),无明显的变化;当进入加载中期(弹塑性阶段),试件出现轻微鼓曲,随着荷载的持续增加,试件变形增大,出现“波浪形”变形;加载后期,由于端部效应,试件上下端出现“象足式”环形褶皱,此现象与文献[15,19]结果一致。图3为试件的最终破坏模态,此时对应的轴向位移为试件高度的7.5%,所有试件的破坏均为向外局部屈曲。
![]() |
| 图3 试件破坏模式 Fig. 3 Failure modes of the specimens |
2.2 荷载–变形曲线
图4为试件的荷载–轴向变形曲线。由图4可知:1)曲线在弹性阶段呈线性快速增长,在塑性阶段呈非线性缓慢增长;2)试件具有良好的延性,后期具有明显的强化阶段;3)随着钢管壁厚的增加,弹性阶段曲线斜率呈增大的趋势,同时试件的最终承载力也逐渐提高;4)试件在轴向压力作用下,4个不同厚度的试件承载力均没有下降段,此现象与文献[15,19]基本一致,这一现象与壁厚较薄的试件存在显著区别,壁厚较薄圆不锈钢管混凝土短柱在轴压作用下存在明显的下降段[17-18]。
![]() |
| 图4 荷载–变形曲线 Fig. 4 Load–displacement curves |
2.3 荷载–应变曲线
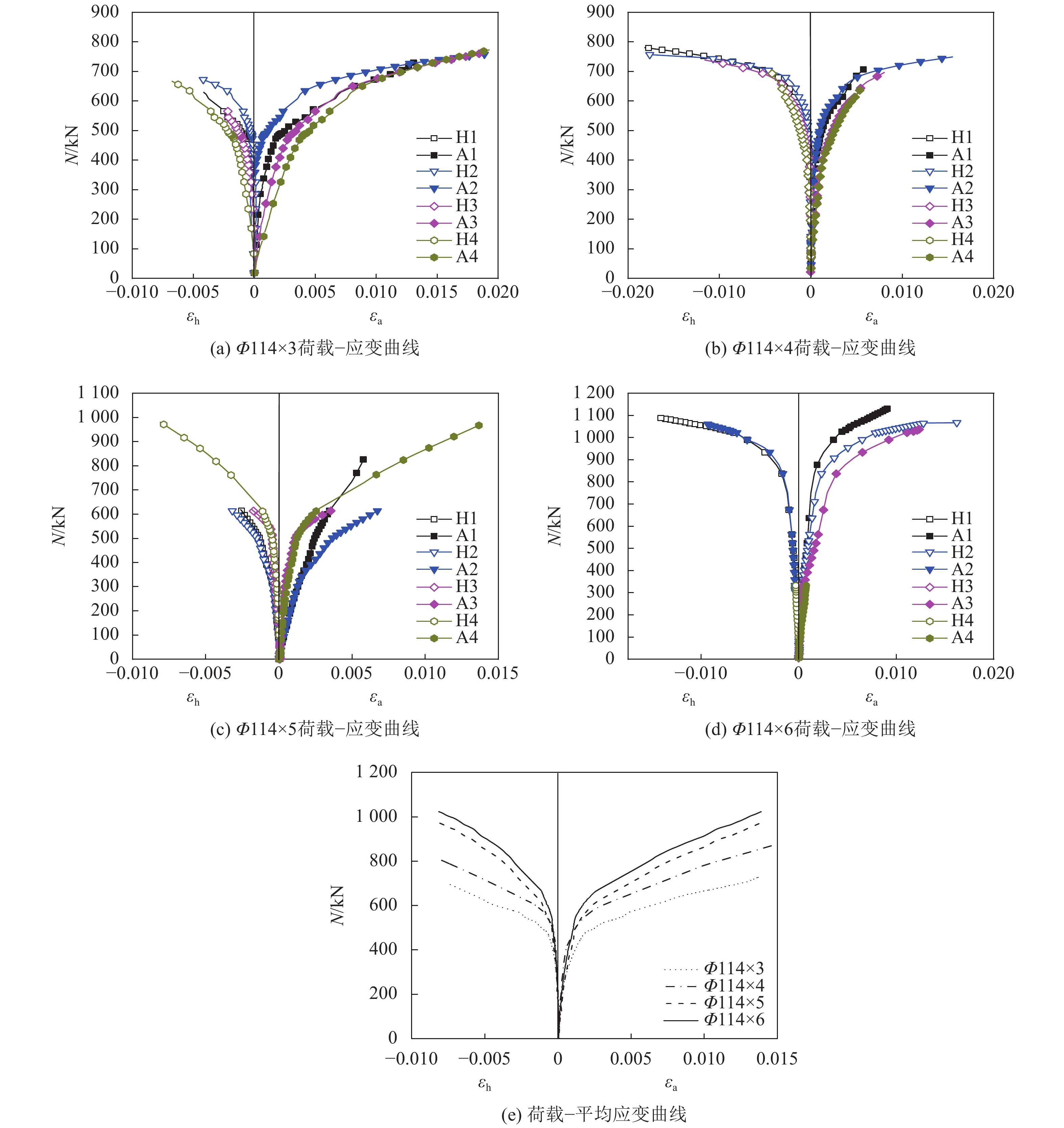
图5为试件的荷载–应变曲线,其中应变为不锈钢管中部截面应变,以使试件压缩变形为正,拉伸变形为负。
![]() |
| 图5 荷载–应变曲线 Fig. 5 Load–strain curves |
图5(a)~(d)分别为代表性试件的荷载–环向应变、荷载–纵向应变曲线。由于每个试件中的4个纵向应变测点和4个环向应变测点结果并不完全一致,因此,在分析时,取单个试件的4个环向和纵向应变片数值的平均值与荷载的关系曲线进行比较,见图5(e)。由图5(a)~(d)可知,单个试件中,荷载–环向应变曲线的曲率大于荷载–纵向应变曲线的曲率,说明试件的核心混凝土横向膨胀比较困难,在核心混凝土横向扩张过程中,受到不锈钢管的有效约束。同时,由图5(e)可知:所有试件的纵向应变和环向应变变化趋势基本一致,随着壁厚的增加,相同应变对应的荷载也较大。其中,试件Φ114×5和Φ114×6部分测点在加载过程中损坏。
2.4 不锈钢圆管约束效应对承载力的影响不锈钢管对核心混凝土的约束效应采用系数(
| ${\xi _{{\rm{ss}}}} = \frac{{{A_{\rm{s}}}{\sigma _{0.2}}}}{{{A_{\rm{c}}}{f_{{\rm{ck}}}}}}$ | (1) |
因此,本文试件不锈钢管混凝土短柱的约束效应系数
![]() |
| 图6 约束效应系数对承载力的影响 Fig. 6 Influence of constraint effect coefficient on bearing capacity |
2.5 圆不锈钢管约束效应对延性的影响
延性是评价结构变形能力的重要指标,采用 Park[23]提出的延性系数μ来反映此性能,计算公式如下:
| $\mu {\rm{ = }}{\delta _{\rm{u}}}/{\delta _{\rm{y}}}$ | (2) |
式中:
不锈钢管混凝土短柱的极限荷载有两种取值方法[15],第一个是取试件的最大承载力作为极限荷载,另一个是取5%应变对应的荷载作为极限荷载。由图4可知,试件的承载能力在应变为7.5%(变形约为30 mm)左右时依然呈上升趋势,在整个试验过程中,没有测得试件的最大承载力。因此,采用第2种极限荷载取值方法计算延性系数,由此得出不锈钢圆管约束效应系数
![]() |
| 图7 约束效应系数对延性的影响 Fig. 7 Ductility of concrete filled stainless steel circular pipe versus constraint effect coefficient |
3 圆不锈钢管混凝土短柱承载力 3.1 国内外规范和标准计算值对比
目前,不锈钢钢管混凝土短柱承载力计算方法还没有专门的规范,其承载力常借鉴普通碳钢钢管混凝土短柱的承载力计算方法确定。对普通碳钢钢管混凝土轴心受压短柱强度承载力的计算方法,各国规范的规定不尽相同,但是求其极限荷载是比较简捷的方法。
现基于本文与其他研究者[15,17-19]的试验数据,利用欧洲规范(Eurocode 4) [24]、美国规范(ACI 318) [25]、日本规范(AIJ 2008) [26]、中国部分规范和标准DBJ 13-51—2003[27]、DL/T 5085—1999[28]、CECS 28:2012[29]计算承载力,并与试验值进行对比。不同规范基于各文献试验数据的计算值与试验值见表2所示,试验值与部分规范计算值的比值统计分析见图8所示。其中:
| 表2 各试件的基本参数及承载力设计值 Tab. 2 Basic parameters and design values of bearing capacity of all specimens |
![]() |
![]() |
| 图8 试验值与部分规范计算值的比值统计 Fig. 8 Statistical graph of the ratio of tested values to the calculated values of portion specifications |
图8为有代表性的试验值与规范计算值的比值统计图,分别为计算值偏差最大的美国ACI规范和偏差最小的日本规范AIJ–CFT(1997)。试验值与美国ACI规范计算值的平均比值达到2.208 7,比值从1.4到3.4,跨度较大,标准差为0.394 4;中国规范CECS 28:2012和日本规范AIJ–CFT(1997)的计算值与试验值相差较小,其比值的平均值分别为1.390 7和1.388 8,标准差分别为0.239 7和0.241 8;其余规范或规程EC4、DL/T、BDJ的计算值偏差在ACI和AIJ–CFT(1997)之间,且试验值与计算值的平均比值分别为1.870 1、1.519 0和1.485 8,标准差分别为0.327 9、0.254 5和0.259 2。从以上分析可以得出:6种规范或者规程在计算圆不锈钢管混凝土短柱承载力时都偏于保守。
3.2 圆不锈钢管混凝土短柱轴压承载力计算方法不锈钢管混凝土与普通碳钢管混凝土类似,在轴压作用下变形复杂,蔡绍怀[31]通过试验分析发现普通碳钢管混凝土轴压短柱极限承载能力不受变形过程的影响,故其利用极限平衡理论推导得出了普通碳钢管混凝土的轴心受压承载力计算公式:
| ${N_{\rm{u}}} = \left( {1 + 2{\xi _{{\rm{ss}}}}} \right){f_{{\rm{ck}}}}{A_{\rm{c}}}$ | (3) |
| ${N_{\rm{u}}} = \left( {1 + \sqrt {{\xi _{{\rm{ss}}}}} {\rm{ + }}1.1{\xi _{{\rm{ss}}}}} \right){f_{{\rm{ck}}}}{A_{\rm{c}}}$ | (4) |
式(3)和(4)分别适用于约束效应系数设计值(
与此同时,结合各文献试验数据,通过回归分析,也可以得到圆不锈钢管混凝土短柱轴压承载力的推荐公式如下:
| ${N_{{\rm{pre}}}} = (1.59 + 1.62{\xi _{{\rm{ss}}}}){A_{\rm{c}}}{f_{{\rm{ck}}}}$ | (5) |
如图9所示,由于所得结果比较离散,因此拟合图形中的相关系数R2为0.716,其余各参数见前文所述。
![]() |
| 图9 拟合曲线 Fig. 9 Regression curve |
利用式(5)计算各文献的承载力,得到试验值与计算值统计分析,见图10。通过分析图10可知,计算的承载力都比较接近试验值。同时,其试验值与计算值之比的平均值较式(3)和(4)的小,且标准差也相对较小,说明结果更集中。说明通过回归分析得到的式(5)可以较好地用于圆不锈钢管混凝土短柱的承载力计算。此外,拟合式(5)只有一个表达式,不需要分段描述,工程实际应用中更为简便。
![]() |
| 图10 试验值与计算值比值统计 Fig. 10 Ratio of experimental values to calculated values |
3.3 圆不锈钢管混凝土抗压承载力模型比较
圆不锈钢钢管对核心混凝土的约束应力
| ${\sigma _{{\rm{l}},{\rm{ss}}}} = 2{t_{\rm{s}}}{\sigma _{0.2}}/{D_{\rm{c}}}$ | (6) |
将式(1)中的不锈钢圆管的约束效应系数
| $\dfrac{N_{{\rm{pre}}}}{A_{\rm{c}}} = 1.59{f_{{\rm{ck}}}} + 3.26{\sigma _{{\rm{l}},{\rm{ss}}}}$ | (7) |
则圆不锈钢管混凝土的抗压承载力模型为:
| ${f_{{\rm{cc}}}} = 1.59{f_{{\rm{ck}}}} + 3.26{\sigma _{{\rm{l}},{\rm{ss}}}}$ | (8) |
式中,
将
| $\frac{{{f_{{\rm{cc}}}}}}{{{f_{{\rm{c}}0}}}} = 1.33 + 3.26\left( {\frac{{{\sigma _{{\rm{l}},{\rm{ss}}}}}}{{{f_{{\rm{c}}0}}}}} \right)$ | (9) |
采用本文模型(式(9))、Mander模型[33]、Li模型[34]、Xiao模型[35]、Teng模型[36]进行比较,见表3。其中,Mander模型表达式为式(10):
| 表3 承载力计算结果对比 Tab. 3 Comparison of calculation results of bearing capacity |
![]() |
| $\frac{{{f_{{\rm{cc}}}}}}{{{f_{{\rm{c}}0}}}} = - 1.254 + 2.254\sqrt {1 + 7.94\frac{{{\sigma _{{\rm{l}},{\rm{ss}}}}}}{{{f_{{\rm{c}}0}}}}} - 2\frac{{{\sigma _{{\rm{l}},{\rm{ss}}}}}}{{{f_{{\rm{c}}0}}}}$ | (10) |
Li模型表达式为:
| $\frac{{{f_{{\rm{cc}}}}}}{{{f_{{\rm{c}}0}}}} = - 0.413 + 1.413\sqrt {1 + 11.4\frac{{{\sigma _{{\rm{l}},{\rm{ss}}}}}}{{{f_{{\rm{c}}0}}}}} - 2\frac{{{\sigma _{{\rm{l}},{\rm{ss}}}}}}{{{f_{{\rm{c}}0}}}}$ | (11) |
Xiao模型表达式为:
| $\frac{{{f_{{\rm{cc}}}}}}{{{f_{{\rm{c}}0}}}} = 1 + 3.24{\left( {\frac{{{\sigma _{{\rm{l}},{\rm{ss}}}}}}{{{f_{{\rm{c}}0}}}}} \right)^{0.80}}$ | (12) |
Teng模型表达式为:
| $\frac{{{f_{{\rm{cc}}}}}}{{{f_{{\rm{c}}0}}}} = 1 + 3.5\left( {\frac{{{\sigma _{{\rm{l}},{\rm{ss}}}}}}{{{f_{{\rm{c}}0}}}}} \right)$ | (13) |
对表3中数据进行统计分析得出:采用Mander模型计算的均值为1.14,标准差为0.255;Li模型计算的均值为1.44,标准差为0.390;Xiao模型计算值为1.062,标准差为0.189;Teng模型计算值为1.088,标准差为0.187;本文模型(式(9))的均值为0.997,标准差为0.177。
将表3中的结果统计于图11中。显然,Mander模型和Li模型与试验结果相差较大,且分布较为离散,而本文的圆不锈钢管混凝土承载力模型、Xiao模型、Teng模型与试验结果较接近,但本文模型计算不锈钢圆管混凝土短柱承载力时,其抗压承载力结果的标准差更小,显示计算结果更集中,同时,其计算结果较Xiao模型和Teng模型结果稍微偏大。
![]() |
| 图11 不同模型计算结果统计 Fig. 11 Statistical of the results calculated by different models |
4 结 论
1)圆不锈钢管混凝土短柱在轴压作用下,其典型的破坏模式为向外局部屈曲破坏;圆不锈钢管混凝土短柱的约束效应系数越大,不锈钢管对核心混凝土的约束作用就越大,对应试件的延性和承载力也都相应较大。
2)欧洲规范(Eurocode 4)、美国规范(ACI 318)、日本规范(AIJ 2008)、中国规程CECS 28:2012、DL/T 5085—1999、地方标准DBJ 13-51—2003应用于圆不锈钢管混凝土短柱承载力计算时都偏于保守,其中AIJ–CFT和CECS 28:2012计算结果比较接近试验值;
3)本文通过对已有文献中圆不锈钢管混凝土短柱试验数据的回归分析,得到了圆不锈钢管混凝土短柱承载力的建议公式,通过统计分析,表明采用该公式计算圆不锈钢管混凝土短柱轴压承载力更接近试验结果。
4)通过比较本文提出的圆不锈钢管约束混凝土抗压承载力模型、Mander模型、Li模型、Xiao模型、Teng模型发现,Mander模型和Li模型与试验结果相差较大,而本文的圆不锈钢管约束混凝土抗压承载力模型、Xiao模型、Teng模型与试验结果更接近。但本文模型计算圆不锈钢管混凝土短柱承载力时,其抗压承载力结果的标准差更小,显示计算结果更集中;同时,其计算结果较Xiao模型和Teng模型结果稍微偏大。
| [1] |
韩林海.钢管混凝土结构—理论与实践[M].3版.北京:科学出版社,2016.
|
| [2] |
Liao Feiyu,Tao Zhong. The state-of-the-art of concrete-filled stainless steel tubular structures[J]. Industrial Construction, 2009, 39(4): 114-118. [廖飞宇,陶忠. 不锈钢管混凝土的发展述[J]. 工业建筑, 2009, 39(4): 114-118. DOI:10.13204/j.gyjz2009.04.032] |
| [3] |
Ji Guanyun.Calculation method and application of bearing capacity of stainless steel tube concrete members[D].Dalian:Dalian University of Technology,2018. 纪官运.不锈钢管混凝土构件承载力计算方法及应用[D].大连:大连理工大学,2018. |
| [4] |
Ding F X,Yin Y X,Wang L P,et al. Confinement coefficient of concrete-filled square stainless steel tubular stub columns[J]. Steel and Composite Structures, 2019, 30(4): 337-350. DOI:10.12989/scs.2019.30.4.337 |
| [5] |
Ellobody E. Nonlinear behavior of concrete-filled stainless steel stiffened slender tube columns[J]. Thin-Walled Structures, 2007, 45(3): 259-273. DOI:10.1016/j.tws.2007.02.011 |
| [6] |
Liao F Y,Hou C,Zhang W J,et al. Experimental investigation on sea sand concrete-filled stainless steel tubular stub columns[J]. Journal of Constructional Steel Research, 2019, 155: 46-61. DOI:10.1016/j.jcsr.2018.12.009 |
| [7] |
Zhang Weijie,Liao Feiyu,Yao Guohuang. Experimental study on the axial compressive behavior of square stainless steel tube sand concrete columns[J]. Steel Structure, 2019, 34(4): 40-45. [张伟杰,廖飞宇,尧国皇. 方形不锈钢管海砂混凝土柱轴压性能试验研究[J]. 钢结构, 2019, 34(4): 40-45. DOI:10.13206/j.gjg201904007] |
| [8] |
Dabaon M A,El-Boghdadi M H,Hassanein M F. Experimental investigation on concrete-filled stainless steel stiffened tubular stub columns[J]. Engineering Structures, 2009, 31: 300-307. DOI:10.1016/j.engstruct.2008.08.017 |
| [9] |
Tao Z,Uy B,Liao F Y,et al. Nonlinear analysis of concrete-filled square stainless steel stub columns under axial compression[J]. Journal of Constructional Steel Research, 2011, 67(11): 1719-1732. DOI:10.1016/j.jcsr.2011.04.012 |
| [10] |
Abd Mutalib A,Mussa M H,Abusal K M K. Numerical evaluation of concrete filled stainless steel tube for short columns subjected to axial compression load[J]. Journal Technology, 2018, 80(2): 59-66. |
| [11] |
Dabaon M,El-Khoriby S,El-Boghdadi M,et al. Confinement effect of stiffened and unstiffened concrete-filled stainless steel tubular stub columns[J]. Journal of Constructional Steel Research, 2009, 65(8): 1846-1854. DOI:10.1016/j.jcsr.2009.04.012 |
| [12] |
Patel V I,Liang Q Q,Hadi M N S. Nonlinear analysis of axially loaded circular concrete-filled stainless steel tubular short columns[J]. Journal of Constructional Steel Research, 2014, 101: 9-18. DOI:10.1016/j.jcsr.2014.04.036 |
| [13] |
Liao Feiyu. Finite element analysis of axial pressure properties of round stainless steel tube concrete[J]. Journal of Fujian Agriculture and Forestry University (Natural Science Edition), 2009, 38(6): 659-662. [廖飞宇. 圆不锈钢管混凝土轴压力学性能的有限元分析[J]. 福建农林大学学报(自然科学版), 2009, 38(6): 659-662. DOI:10.13323/j.cnki.j.fafu(nat.sci.).2009.06.004] |
| [14] |
Xu Chenhao,Zhao Junliang,Jin Guoping. Three-dimensional finite element analysis of round stainless steel tube concrete axial compression short column[J]. Concrete, 2017(7): 44-46. [徐晨豪,赵俊亮,金国平. 圆不锈钢管混凝土轴压短柱三维有限元分析[J]. 混凝土, 2017(7): 44-46. DOI:10.3969/j.issn.1002-3550.2017.07.011] |
| [15] |
Lam D,Gardner L. Structural design of stainless steel concrete filled columns[J]. Journal of Constructional Steel Research, 2008, 64(11): 1275-1282. DOI:10.1016/j.jcsr.2008.04.012 |
| [16] |
Hu Chengxi.Analysis of bearing capacity of stainless steel tubular concrete column[D].Xi’an:Xi’an University of Architecture and Technology,2010. 胡成玺.不锈钢管混凝土柱承载力分析[D].西安:西安建筑科技大学,2010. |
| [17] |
Chen Yu,Li Fengxia,Wang Jiang. Experimental study on the mechanical performance of hot-formed stainless steel tubular concrete axial compression short column[J]. Journal of Building Structures, 2013, 34(2): 106-112. [陈誉,李凤霞,王江. 热成型不锈钢圆管混凝土轴压短柱受力性能试验研究[J]. 建筑结构学报, 2013, 34(2): 106-112. DOI:10.14006/j.jzjgxb.2013.02.010] |
| [18] |
Uy B,Tao Z,Han L H. Behaviour of short and slender concrete-filled stainless steel tubular columns[J]. Journal of Constructional Steel Research, 2011, 67(3): 360-378. DOI:10.1016/j.jcsr.2010.10.004 |
| [19] |
Dai Peng,Yang Lu,Wei Xuan,et al. Stainless steel pipe concrete short columns axial compression bearing capacity test research[J]. Engineering Mechanics, 2019, 36(Supp1): 298-305. [代鹏,杨璐,卫璇,等. 不锈钢管混凝土短柱轴压承载力试验研究[J]. 工程力学, 2019, 36(增刊1): 298-305.] |
| [20] |
中华人民共和国国家质量监督检验检疫总局,中国国家标准化管理委员会.金属材料拉伸试验:第1部分 室温试验方法:GB/T228.1—2010[S].北京:中国标准出版社,2010.
|
| [21] |
中华人民共和国建设部,国家质量监督检验检疫总局.普通混凝土力学性能试验方法标准:GB/T 50081—2002[S].北京:中国建筑工业出版社,2002.
|
| [22] |
中华人民共和国住房和城市建设部,中华人民共和国国家质量监督检验检疫总局.混凝土结构设计规范:GB 50010—2010[S].北京:中国建筑工业出版社,2011.
|
| [23] |
Park R.Ductility evaluation from laboratory and analytical testing[C]//Proceedings of Ninth World Conference on Earthquake Engineering,okyo-Kyoto,1988:605–616.
|
| [24] |
European Committee for Standardization.Design of composite steel and concrete structures Part1–1:General rules and rules for buildings:Eurocode 4[S].London:British Standards Institution,1994.
|
| [25] |
American Concrete Institute.Building code requirements for structural concrete and commentary:ACI 318–99[S].Detroit:American Concrete Institute,1999.
|
| [26] |
Architectural Institute of Japan.Recommendations for design and construction of concrete filled steel tubular structures:AIJ–CFT (1997)[S].Tokyo:Architectural Institute of Japan,1997.
|
| [27] |
福建省住房和城乡建设厅.钢管混凝土结构技术规程:DBJ 13-51—2003[S].福州:福建省建设厅,2003.
|
| [28] |
中华人民共和国国家经济贸易委员会.钢–混凝土组合结构设计规程:DL/T 5085—1999[S].北京:中国电力出版社,1999.
|
| [29] |
哈尔滨工业大学,中国建筑科学研究院.钢管混凝土结构设计与技术规程:CECS 28:2012[S].北京:中国计划出版社,1999.
|
| [30] |
李爱群,王铁成,颜德姮,等.混凝土结构:混凝土结构设计原理[M].6版.北京:中国建筑工业出版社,2015.
|
| [31] |
蔡绍怀.现代钢管混凝土结构[M].北京:人民交通出版社,2007.
|
| [32] |
Guo Ying,Xu Tianxiang,Liu Jiepeng. Axial compression test of high strength concrete short columns confined by CFRP-steel composite pipe[J]. Journal of Architectural Structure, 2019, 40(5): 124-131. [郭莹,许天祥,刘界鹏. 圆CFRP-钢复合管约束高强混凝土短柱轴压试验研究[J]. 建筑结构学报, 2019, 40(5): 124-131. DOI:10.14006/j.jzjgxb.2019.05.012] |
| [33] |
Mander J B,Priestley M J N,Park R. Theoretical stress-strain model for confined concrete[J]. Journal of Structural Engineering, 1988, 114(8): 1804-1826. DOI:10.1061/(ASCE)0733-9445(1988)114:8(1804) |
| [34] |
Li B,Park R,Tanaka H. Stress-strain behavior of high-strength concrete confined by ultra-high-and normal-strength transverse reinforcements[J]. ACI Structural Journal, 2001, 98(3): 395-406. |
| [35] |
Xiao Q G,Teng J G,Yu T. Behavior and modeling of confined high-strength concrete[J]. Journal of Composites for Construction, 2010, 14(3): 249-259. DOI:10.1061/(ASCE)CC.1943-5614.0000070 |
| [36] |
Teng J G,Huang Y L,Lam L,et al. Theoretical model for fiber-reinforced polymer-confined concrete[J]. Journal of Composites for Construction, 2007, 11(2): 201-210. DOI:10.1061/(ASCE)1090-0268(2007)11:2(201) |
2020, Vol. 52















