河流因水文特性、地质构造等因素的影响普遍表现为峡谷段缩窄,非峡谷段展宽的平面形态,宽窄相间河道是中国西部山区河流最为常见的一种河流型态[1-3]。河道缩窄段通常存在明显的卡口效应,在非洪水期缩窄段表现为跌水,水深较浅、流速大、输沙率高;洪水期缩窄段跌水效应减弱、流速趋缓、输沙率大幅降低[3-5]。由此可见,河宽变化是影响山区河道行洪的关键因素之一[6-7]。汶川地震后,西南山区河流两岸堆积了大量松散堆积体[8-10],暴雨山洪作用下,极易形成山洪过程的推移质输移,造成河床边界发生剧烈调整,反过来影响山洪水沙输移规律[11-16]。
众多学者利用物理试验、数值模拟等方法对宽窄相间河道的水沙输移特性、河床演变特征进行了研究。例如:闫旭峰等[17]通过模型试验分析了宽窄相间河道水位沿程变化及展宽缩窄河段水流结构,并剖析了河道平面宽窄变化对于河道阻力的影响。王淑英等[18]通过室内试验探讨了河道展宽引起水位增加及断面环流的原因。Wang等[19]基于系列试验,分析了宽窄相间河道流速分布,并发现流速分布于宽段边界附近,偏离对数壁面率。王文娥等[20]通过模型试验,研究了宽窄相间河段的紊流结构,认为展宽段近边壁的紊流强度远高于河道中心区域,而河段展宽于两侧旋涡脱落促进了侧壁侵蚀。高永胜等[3]基于数值分析,比较了河宽渐变条件下河床冲淤特征,指出洪水过程中的流速变化决定了河床变形特征。Wu等[21]采用2维数值模型,分析了河宽对河床洲滩型态的影响,发现河宽变化及宽窄相间河段分布与洲滩高度密切相关。Duró等[22]结合2维数值试验,探究了突扩突缩河段的变形模式,认为上游来流条件与边滩型复式河床塑造具有直接关系。Nelson等[23]采用物理模型试验对连续宽窄相间河道进行分析,发现上游来沙变化对河床形态滩槽结构发展起着至关重要的作用。
综上可知,当前研究主要针对宽窄相间河道水流结构、沿程水位分布规律及河床变形特征分析,而对该类型河段山洪水沙输移–河床演变引发的水位陡增现象的研究相对较少。为此,利用2维水沙动力学模型开展数值试验,研究上游来沙变化对山洪演进的影响,揭示山区河流宽窄相间河段洪水–泥沙–床面变形互馈机制,为来沙变化背景下的山洪水沙灾害研究与防治提供科学依据。
1 数值模拟方法采用2维水沙动力学模型对宽窄相间河道洪水演进及床面变形进行计算。采用2维浅水方程描述水流运动[24-25]。
连续方程:
| $ \frac{{\partial h}}{{\partial t}} + \frac{{\partial \left( {hU} \right)}}{{\partial x}} + \frac{{\partial \left( {hV} \right)}}{{\partial y}} = 0 $ | (1) |
动量方程:
| $ \frac{{\partial \left( {hU} \right)}}{{\partial t}} + \frac{{\partial \left( {h{U^2}} \right)}}{{\partial x}} + \frac{{\partial \left( {hUV} \right)}}{{\partial y}} = - gh\frac{{\partial {Z_{\rm{s}}}}}{{\partial x}} + {T_x} - \frac{{{\tau _{{\rm{b}}x}}}}{\rho } $ | (2) |
| $ \frac{{\partial \left( {hV} \right)}}{{\partial t}} + \frac{{\partial \left( {hUV} \right)}}{{\partial x}} + \frac{{\partial \left( {h{V^2}} \right)}}{{\partial y}} = - gh\frac{{\partial {Z_{\rm{s}}}}}{{\partial y}} + {T_y} - \frac{{{\tau _{{\rm{b}}y}}}}{\rho } $ | (3) |
其中:
| $ {\;\;\;\;\;\;\;\;\;\;\;\left\{\begin{array}{l}{T_x} = \dfrac{\partial }{{\partial x}}\left( {{\nu _{\rm{t}}}h\dfrac{{\partial U}}{{\partial x}}} \right) + \dfrac{\partial }{{\partial y}}\left( {{\nu _{\rm{t}}}h\dfrac{{\partial U}}{{\partial y}}} \right),\\ {T_y} = \dfrac{\partial }{{\partial x}}\left( {{\nu _{\rm{t}}}h\dfrac{{\partial V}}{{\partial x}}} \right) + \dfrac{\partial }{{\partial y}}\left( {{\nu _{\rm{t}}}h\dfrac{{\partial V}}{{\partial y}}} \right)\end{array}\right.} $ | (4) |
| $ {\;\;\;\;\;\tau _{{\rm{b}}x}} = \rho {C_{\rm{f}}}U\sqrt {{U^2} + {V^2}} ,{\tau _{{\rm{b}}y}} = \rho {C_{\rm{f}}}V\sqrt {{U^2} + {V^2}} $ | (5) |
式(1)~(5)中:
山洪水沙输移时,泥沙输移和床面变形主要受推移质运动影响。河床变形方程为:
| $ \frac{{\partial {Z_{\rm{b}}}}}{{\partial t}} + \frac{{\partial {q_{{\rm{b}}x}}}}{{\partial x}} + \frac{{\partial {q_{{\rm{b}}y}}}}{{\partial y}} = 0 $ | (6) |
式中:
该模型采用Galerkin有限元法对控制方程进行离散,并采用三角形非结构化网格进行区域划分,采用显性格式进行迭代求解。为保证计算过程稳定,时间步长设定满足CFL稳定条件。模型验证采用研究河段室内试验的沿程水位进行比较,试验在四川大学水力学与山区河流开发保护国家实验室进行,试验设置可参考文献[17],水槽几何平面形态如图1所示。水槽坡度S=0.002,最宽段宽度B1 = 1.4 m,最窄段B2 = 0.6 m,宽窄相间距离为3 m,并采用正(余)弦曲线衔接。模拟定床水流运动,入口边界条件采用流量边界 Q = 0.1 m3/s,出口边界条件采用水位边界
![]() |
| 图1 宽窄相间水槽示意图 Fig. 1 Schematic dragram of experimental flume with width variation |
![]() |
| 图2 定床下水位测量值与预测值比较 Fig. 2 Comparison between the experimental and simulated stages under non-erodible beds |
2 数值试验分析
为模拟宽窄相间水槽段水沙输移及河床变形,定床下水流边界条件不变,在入口边界增加上游推移质输移条件。将上游边界河床设为不可变形,此时输沙率可维持恒定;同时,下游边界输沙率假定为平衡输沙。为探究泥沙变化下河床水位调整,将清水冲刷与饱和输沙结果相比较。上游来沙与床沙均假定为均匀沙,粒径d = 3 mm。
通过上游有无来沙计算结果比较,分析上游来沙变化对水位–河床调整的影响。为方便讨论,首先,展示床面形态模拟结果,以揭示河床整体变化;其次,比较水位–河床变形沿程分布,分析水位因河床变形引起的时空调整机制;然后,提取最宽断面、最窄断面水位–河床高程随时间变化过程,探究水位因河床变形引起的时间调整机制;最后,利用床面切应力变化规律阐明宽窄相间河段水位–河床变形规律。
2.1 床面形态演变宽窄相间河道,缩窄段常表现为冲刷,展宽段为淤积。宽窄相间河道床面地形计算结果如图3所示。图3(a)为上游来沙条件为饱和输沙,表示上游泥沙物源充足;图3(b)为上游泥沙物源不足或者尚未抵达该河段,表现为清水冲刷,例如大坝拦去大部分泥沙的情况。上述2种情况皆为真实山区河流常见现象。
![]() |
| 图3 床面演变计算结果 Fig. 3 Simulated results of bed topography evolution |
宽窄相间河段饱和输沙时,上游来沙以沙波形式向下游演进,沙波演进速度在展宽段较小,在缩窄段较大。当沙波尚未移动到第2个缩窄段时,该河段表现为冲刷加大,冲坑随时间发生纵向延展。随着输沙继续进行,冲坑泥沙回填,且第2展宽段床面淤积加快,直至沙波通过整个宽窄相间河段,冲淤达到平衡。此时,整个河段形成了典型深潭–浅滩床面型态。
当上游泥沙物源不足或清水输沙时,床面较快达到冲淤平衡,床面变形大幅降低。由于上游来沙量较少,泥沙淤积主要发生在展宽河道前半段,淤积的泥沙大部分来源于缩窄段冲刷;缩窄段由于没有泥沙回填,形成的冲坑随时间不断发展。相比于饱和输沙条件,清水冲刷塑造的深潭–浅滩高程较低,整个河床整体上表现为下切。值得注意的是,由于第3个缩窄段为下游边界,且水位边界较低,严重影响了上游展宽河段淤积高度,导致第2个展宽段浅滩规模要明显小于第1个展宽段。
2.2 水位–床面变形沿程分布随着输沙过程进行,床面高程随即调整,从而对洪水演进进行反馈。图4为洪水水位–河床高程随时间变化趋势。饱和输沙条件下,河床随时间推移呈现整体淤积抬高趋势,相比于初始床面,展宽段整体抬高0.05 ~ 0.10 m, 缩窄段呈现先下切、后淤抬的变化,反映了上游来沙输移中冲坑回填现象(图3(a))。对应的洪水水位演进变化呈现出在上游水位明显整体抬升,下游基本保持不变的格局。相比于初始阶段水位(t = 4 000 s),水位上涨超过约15%。同时,在初始阶段河宽变化造成的洪水壅跌效应较为明显,即展宽段壅水,缩窄段跌水;随着时间推移,河宽变化引起的壅跌水效应大幅降低甚至消失,展宽段水面明显变陡。
![]() |
| 图4 水位–河床高程随时间沿程变化趋势 Fig. 4 Distribution of stage and bed topography along the channel with time |
清水冲刷条件下,缩窄段河床因大幅冲刷而出现下切,特别在入口边界附近因清水冲刷导致全河段最深冲坑形成。因冲刷起动的床沙主要淤积于展宽河段的前半部分,且淤积高度要低于饱和输沙条件下的河床。相比于饱和输沙河床,除去局部淤积,河床整体呈现下切特征,且床面更加起伏,相应洪水水位过程也呈现较大差异,洪水水位整体表现为下降趋势。
2.3 水位–河床冲淤互馈过程为进一步研究山洪输沙时水位与河床演变之间的关系,分别将展宽段与缩窄段水位、河床高程随时间的变化关系点绘在同一个坐标系中,如图5所示。饱和输沙时,泥沙在展宽段河床始终表现为淤积,且床面抬高速度在初期较高;缩窄段则表现为在初期突然抬高,对应沙波移动到缩窄段回填冲坑。此时,无论是展宽段和缩窄段,水位出现迅速抬高现象,之后随时间缓慢上抬。缩窄段床面高程则在一段时间内(t = 12 000 s~36 000 s)保持稳定,直至缩窄段床面重新加速下切(t=36 000 s),相应水位开始进一步陡涨。其原因在于当冲坑重新发展时,由窄变宽衔接段出现了较大逆坡,上游展宽段需进一步抬高水位增加比降,从而补偿因逆坡增大而下降的输沙能力。
![]() |
| 图5 展宽缩窄断面水位–河床高程随时间发展变化 Fig. 5 Temporal changes of stage and bed topography at the widest and narrowest cross-sections |
当上游边界没有来沙(清水冲刷)时,洪水水位和床面演变过程较为单一。演变初期,上游缩窄段出现冲刷且在展宽段淤积,展宽段河床迅速上抬,并达到较为稳定高程,相应水位快速降低,达到较为稳定水位。这与饱和输沙条件下的水位–床面演化过程相差较大。缩窄段呈现下切并达到基本稳定,相应水位过程变化不大。此外,清水冲刷的床面型态与饱和输沙时一致,起伏依然较大,但水位呈现出下降趋势。其原因在于清水冲刷达到平衡时,输沙率显著降低,河道不需要通过提高水面比降来维持河道输沙能力。
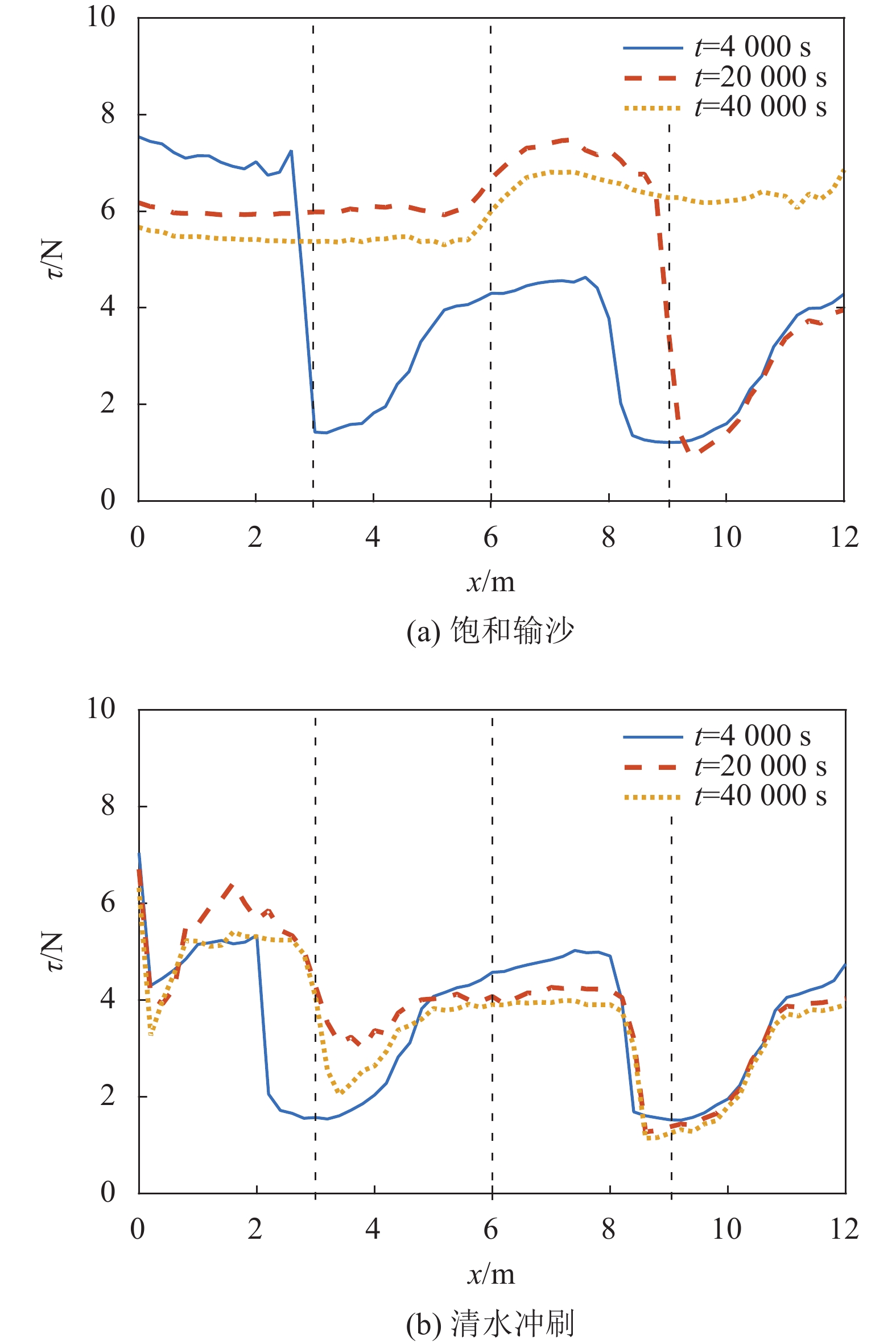
2.4 床面切应力沿程分布规律上述分析基本阐明了山洪发生时宽窄相间河道水位变化过程与输沙、河床变形过程之间的关系。而床面切应力沿程分布变化综合地反映了宽窄相间河道输沙引起的水位–河床调整,图6为宽窄相间河道床面切应力沿程分布规律。饱和输沙条件下,床面切应力在初期(t=4 000 s)整体较低,仅在河道上游较高,此时,沙波刚启动不久,上游河床淤积抬高。当沙波不断向下游移动,河道下游区域床面剪切力相应增大。沙波启动初期,床面切应力表现为展宽段较低而缩窄段较高;床面稳定后(t=40 000 s),整个河道床面切应力大幅提升,且展宽段与缩窄段差异显著减小。清水冲刷情况下,床面切应力沿程随时间变化较小,表现为展宽段较小、缩窄段较大。饱和输沙下床面切应力大幅提高是河道输沙量增加的结果,而清水条件下,河道输沙需求较低,故床面切应力变化不大,且床面切应力沿程变化主要是河道为满足输水能力进行的水力调整。
![]() |
| 图6 床面剪切力沿程分布变化规律 Fig. 6 Distribution of bed shear stress along the channel |
2.5 来沙过程变化对床面型态的影响
前文分析了饱和来沙与清水冲刷条件下宽窄相间河段水沙运动与床面型态演化特性及机制。但自然界中,来沙过程往往是连续变化的,因此有必要研究来沙变化条件下的床面型态演化特性。由图7所示,试验模拟先采取饱和输沙(100%),之后进行非饱和输沙(25%),最后再次进行饱和输沙(100%),3个输沙阶段时间间隔相等,均采用40 000 s。模拟结果表明:在初始饱和输沙(100%)条件下(t=0~40 000 s),2个展宽段先后出现泥沙淤积,致使河床抬高,且前展宽段淤积高度大于后展宽段,全河段整体比降较初始状态显著提高以克服床面形态阻力。进入非饱和输沙阶段(t=40 000~80 000 s),即上游来沙仅为进口饱和输沙的25%,河床呈现冲刷趋势,冲刷主要发生在河床中心端,且后展宽段冲刷较为显著,在后展宽段形成了明显的边滩–主槽结构(左岸滩规模较大)。进入最后饱和输沙阶段(t=80 000~120 000 s),即进口来沙量回到最大输沙量,全河段河床形态出现了与第1个饱和输沙阶段不同的结果,即前展宽段呈现整个横断面进一步的淤抬,后展宽段则并未出现明显淤抬,边滩–主槽结构更加显著,其床面型态演变,即展宽段边滩–主槽结构,与Nelson等[23]模型试验研究成果相符。产生上述现象的原因可能是后展宽段临近下游出口,通量流出受下游水位边界条件控制,而前展宽段通量流出则是受到下游相邻缩窄卡口所控制。由以上分析可知,当上游来沙呈现饱和–非饱和交替变化时,前展宽段淤抬高度远远高于后展宽段,该现象也与Nelson等[23]试验结果一致。根据本文水位–床面形态关系结论进一步分析可知 ,前展宽段洪水受灾风险更大。
![]() |
| 图7 来沙过程变化下的床面型态演变 Fig. 7 Bed topography evolution during a varying sediment supply process |
3 结 论
山区河流由于地质构造、地形比降等因素的影响,可表现为河道宽窄相间变化。而河道山洪水沙输移时,由于泥沙物源的空间非连续性,可能造成上游来沙差异。采用2维水沙动力学模型,分析了宽窄相间河段饱和输沙与清水冲刷条件下的水位–河床变形响应规律,主要结果如下:
1)山洪水沙输移时,上游大量来沙会引起宽窄相间河道展宽段淤积、缩窄段冲刷,形成典型浅滩–深潭床面型态,且河床在泥沙输移过程中整体上抬。上游没有来沙情况下,宽窄相间河道依然形成浅滩–深潭床面结构,但整体呈现下切趋势。
2)大量泥沙输移将导致河床整体淤抬,上游水位上涨导致水面比降增加,床面切应力增大,河道输沙能力显著提高;缩窄段发生冲刷,使下游衔接展宽段形成逆坡,进一步促使上游水位上涨、水面陡化。上游来沙不足的河道,则呈现出水位下降、水面变缓趋势。
总体来讲,上游河段来沙条件极大地影响了宽窄相间河道的水沙输移及河床变形;充足来沙易造成宽窄相间河段床面淤抬,水流为了维持河道的水沙输移能力,河道出现水位上涨和水面陡化现象,诱发展宽河段洪水淹没风险。
| [1] |
Wu Huali,Zhang Xiaofeng,Jin Zhongwu. Research advances of characteristics of flow and sediment transportation in wide and narrow alternated channels[J]. Yangtze River, 2015, 46(8): 14-18. [吴华莉,张小峰,金中武. 宽窄相间河道水沙运动特性研究进展[J]. 人民长江, 2015, 46(8): 14-18. DOI:10.16232/j.cnki.1001-4179.2015.08.004] |
| [2] |
Zhang Xingnong,Chen Changying,Ying Qiang,et al. Basic characteristics and cause of gradual riverbank caving[J]. Journal of Sediment Research, 2012(3): 46-50. [张幸农,陈长英,应强,等. 渐进式崩岸基本特征及其形成原因[J]. 泥沙研究, 2012(3): 46-50. DOI:10.3969/j.issn.0468-155X.2012.03.007] |
| [3] |
Gao Yongsheng,Wang Shuying,Zhou Sufen,et al. Numerical study on the effects of flow motion on channel evolution in gradual width river[J]. Journal of Sichuan University(Engineering Science Edition), 2014, 46(2): 14-19. [高永胜,王淑英,周苏芬,等. 河宽渐变水流运动对河床冲淤特性影响的数值分析[J]. 四川大学学报(工程科学版), 2014, 46(2): 14-19. DOI:10.15961/j.jsuese.2014.02.004] |
| [4] |
Zhang Xingnong,Chen Changying,Jia Dongdong,et al. Mechanisms of gradual riverbank collapses and simulation study[J]. Advances in Water Science, 2014, 25(2): 246-252. [张幸农,陈长英,假冬冬,等. 渐进坍塌型崩岸的力学机制及模拟[J]. 水科学进, 2014, 25(2): 246-252.] |
| [5] |
Xu Weizhen,Deng Yiping. Characteristics of flow rate in the upstream of wide and narrow alternated channels[J]. Journal of Yangtze River Scientific Research Institute, 2017, 34(5): 40-43. [徐威震,邓一平. 宽窄相间河道上游流速特性分析[J]. 长江科学院院报, 2017, 34(5): 40-43. DOI:10.11988/ckyyb.20160150] |
| [6] |
Mudd S M. Investigation of the hydrodynamics of flash floods in ephemeral channels:Scaling analysis and simulation using a shock-capturing flow model incorporating the effects of transmission losses[J]. Journal of Hydrology, 2006, 324(1/2/3/4): 65-79. DOI:10.1016/j.jhydrol.2005.09.012 |
| [7] |
Fabio P,Aronica G T,Apel H. Towards automatic calibration of 2–D flood propagation models[J]. Hydrology and Earth System Sciences, 2010, 14(6): 911-924. DOI:10.5194/hess-14-911-2010 |
| [8] |
Lei Ming,Xu Zexing,Liu Xingnian,et al. Numerical simulation of deformation process and accumulation state of loose materials under seismic action[J]. Advanced Engineering Sciences, 2018, 50(3): 240-246. [雷明,许泽星,刘兴年,等. 地震作用下松散体变形过程及堆积形态的数值模拟[J]. 工程科学与技术, 2018, 50(3): 240-246.] |
| [9] |
Lin G W,Chen H,Hovius N,et al. Effects of earthquake and cyclone sequencing on landsliding and fluvial sediment transfer in a mountain catchment[J]. Earth Surface & Landforms, 2008, 33(9): 1354-1373. |
| [10] |
Zhou J W,Cui P,Yang X G. Effects of material composition and water content on the mechanical properties of landslide deposit triggered by the Wenchuan earthquake[J]. Acta Geological Sinica(English Edition), 2016, 90(1): 242-257. DOI:10.1111/1755-6724.12655 |
| [11] |
Cao Shuyou,Liu Xingnian. Adaptive adjustment and mutation response of river bed within sediment supply in mountain river[J]. Journal of Sichuan University(Engineering Science Edition), 2016, 48(1): 1-7. [曹叔尤,刘兴年. 泥沙补给变化下山区河流河床适应性调整与突变响应[J]. 四川大学 学报(工程科学版), 2016, 48(1): 1-7. DOI:10.15961/j.jsuese.2016.01.001] |
| [12] |
Xie Heping,Xu Weilin,Liu Chao,et al. Water disaster and their countermeasures in mountains[J]. Advanced Engineering Sciences, 2018, 50(3): 1-14. [谢和平,许唯临,刘超,等. 山区河流水灾害问题及应对[J]. 工程科学与技术, 2018, 50(3): 1-14. DOI:10.15961/j.jsuese.201800345] |
| [13] |
Wang Xiekang,Liu Xingnian,Zhou Jiawen. Research framework and anticipated results of flash flood disasters under the mutation of sediment supply[J]. Advanced Engineering Sciences, 2019, 51(4): 1-10. [王协康,刘兴年,周家文. 泥沙补给突变下的山洪灾害研究构想和成果展望[J]. 工程科学与技术, 2019, 51(4): 1-10. DOI:10.15961/j.jsuese.201900261] |
| [14] |
Liu Chao,Nie Ruihua,Liu Xingnian,et al. Research conception and achievement prospect of key technologies for forecast and early warning of flash flood and sediment disasters in mountainous rainstorm[J]. Advanced Engineering Sciences, 2020, 52(6): 1-8. [刘超,聂锐华,刘兴年,等. 山区暴雨山洪水沙灾害预报预警关键技术研究构想与成果展望[J]. 工程科学与技术, 2020, 52(6): 1-8. DOI:10.15961/j.jsuese.202000859] |
| [15] |
Ferrer−Boix C,Chartrand S M,Hassan M A,et al. On how spatial variations of channel width influence river profile curvature[J]. Geophysical Research Letters, 2016, 43(12): 6313-6323. DOI:10.1002/2016GL069824 |
| [16] |
Singha A,Balachandar R. Structure of wake of a sharp-edged bluff body in a shallow channel flow[J]. Journal of Fluids and Structures, 2011, 27(2): 233-249. DOI:10.1016/j.jfluidstructs.2010.11.001 |
| [17] |
Yan Xufeng,Yi Zijing,Liu Tonghuan,et al. Flow structure and characteristics of local head loss in transition channel[J]. Journal of Yangtze River Scientific Research Institute, 2011, 28(9): 1-5. [闫旭峰,易子靖,刘同宦,等. 渐变河道水流结构及局部水头损失特性研究[J]. 长江科学院院报, 2011, 28(9): 1-5. DOI:10.3969/j.issn.1001-5485.2011.09.001] |
| [18] |
Wang Shuying,Zhou Sufen,Zhao Xiaoe,et al. Experimental study on the flow characteristics at local diverging-converging sections in mountain lotus root shape channel[J]. Journal of Sichuan University(Engineering Science Edition), 2013, 45(Supp2): 51-54. [王淑英,周苏芬,赵小娥,等. 山区宽窄相间河道渐扩渐缩局部区域水流运动特性试验研究[J]. 四川大学学报(工程科学版), 2013, 45(增刊2): 51-54.] |
| [19] |
Wang X,Yi Z,Yan X,et al. Experimental study of the flow structure of decelerating and accelerating flows under a gradually varying flume[J]. Journal of Hydrodynamics,Ser B, 2015, 27(3): 340-349. DOI:10.1016/S1001-6058(15)60491-7 |
| [20] |
Wang Wene,Liao Wei,Qi Lijian. Experiment of turbulent characteristics of flow in wide-and-narrow channels[J]. Advances in Water Science, 2020, 31(3): 395-403. [王文娥,廖伟,漆力健. 宽窄相间河道水流紊动特性试验研究[J]. 水科学进展, 2020, 31(3): 395-403. DOI:10.14042/j.cnki.32.1309.2020.03.009] |
| [21] |
Wu F C,Shao Y C,Chen Y C.Quantifying the forcing effect of channel width variations on free bars:Morphodynamic modeling based on characteristic dissipative Galerkin scheme[J].Journal of Geophysical Research(Earth Surfae),2011,116:F03023.
|
| [22] |
Duró G,Crosato A,Tassi P. Numerical study on river bar response to spatial variations of channel width[J]. Advances in Water Resources, 2016, 93: 21-38. DOI:10.1016/j.advwatres.2015.10.003 |
| [23] |
Nelson P A,Brew A K,Morgan J A. Morphodynamic response of a variable-width channel to changes in sediment supply[J]. Water Resources Research, 2015, 51(7): 5717-5734. DOI:10.1002/2014WR016806 |
| [24] |
Nones M,Guerrero M.Numerical simulations of 12-years evolution of the Po River morphodynamics[C]//EGU General Assembly Conference Abstracts.Vienna:EGU General Assembly Conference Abstracts,2018:7636.
|
| [25] |
Liu T H,Wang Y K,Wang X K,et al. Morphological environment survey and hydrodynamic modeling of a large bifurcation-confluence complex in Yangtze River,China[J]. Science of the Total Environment, 2020, 737: 139705. DOI:10.1016/j.scitotenv.2020.139705 |
| [26] |
Nezu I,Nakagawa H.Turbulence in open-channel flows[M].London:Routledge,2017.
|
2021, Vol. 53









