斜向肋格水泥聚苯模壳格构式混凝土墙体抗震性能试验

李小军 曹鑫雨 唐柏赞 邓小芳

李小军, 曹鑫雨, 唐柏赞, 等. 斜向肋格水泥聚苯模壳格构式混凝土墙体抗震性能试验 [J]. 工程科学与技术, 2022, 54(2): 81-89. doi: 10.15961/j.jsuese.202100107
引用本文: 李小军, 曹鑫雨, 唐柏赞, 等. 斜向肋格水泥聚苯模壳格构式混凝土墙体抗震性能试验 [J]. 工程科学与技术, 2022, 54(2): 81-89. doi: 10.15961/j.jsuese.202100107
LI Xiaojun, CAO Xinyu, TANG Baizan, et al. Seismic Performance Test of Expansive Polystyrene Granule Cement Latticed Concrete Wall with Diagonal Bracing [J]. Advanced Engineering Sciences, 2022, 54(2): 81-89. doi: 10.15961/j.jsuese.202100107
Citation: LI Xiaojun, CAO Xinyu, TANG Baizan, et al. Seismic Performance Test of Expansive Polystyrene Granule Cement Latticed Concrete Wall with Diagonal Bracing [J]. Advanced Engineering Sciences, 2022, 54(2): 81-89. doi: 10.15961/j.jsuese.202100107

斜向肋格水泥聚苯模壳格构式混凝土墙体抗震性能试验

基金项目: 国家自然科学基金项目(51908216);江西省主要学科学术和技术带头人培养计划项目(20204BCJL23032);江西省自然科学青年基金项目(20202BAB214026)
详细信息
    • 收稿日期:  2021-01-26
    • 录用日期:  2022-02-10 12:00:00
    • 网络出版时间:  2022-02-26 12:06:00
  • 作者简介:

    李小军(1965—),男,教授,博士. 研究方向:地震工程. E-mail:beerli@vip.sina.com

    通信作者:

    唐柏赞, E-mail: tangbaizan@163.com

  • 中图分类号: TU352

Seismic Performance Test of Expansive Polystyrene Granule Cement Latticed Concrete Wall with Diagonal Bracing

  • 摘要: 水泥聚苯免拆模壳格构式混凝土墙是一种保温结构一体化复合墙体,设置斜向肋格水泥聚苯免拆模壳格构式混凝土墙是一种新模式。为研究该斜向肋格格构式混凝土墙体的抗震性能,进行3个格构式墙体原型试件的水平低周反复荷载试验,包括2个设置斜向肋格的新型和1个传统型格构式墙体,得到各试件承载力、滞回曲线、骨架曲线、延性和刚度退化等力学性能,以及破坏模式的试验结果。对比分析设置斜向肋格新型和传统型格构式墙体抗震性能的差异,同时探讨水泥聚苯模壳(EPSC)对设置斜向肋格的新型复合墙体抗震性能的影响。试验结果表明:设置斜向肋格的新型水泥聚苯免拆模壳格构式墙体较传统格构式墙体具有更高的承载力、弹塑性变形能力和耗能能力;EPSC和钢筋混凝土骨架协同工作,显著提高了墙体的耗能能力,一定程度提高了墙体的承载能力、刚度等力学性能。研究结果为其工程应用提供技术支撑。

     

    Abstract: Expansive polystyrene granule cement (EPSC) non-demoulding latticed concrete wall is a composite wall integrating insulation and structure. The setting of diagonal bracing is a new mode of the wall. To study the seismic performance of the latticed concrete walls with diagonal bracing, laterally reversed low-cyclic loading tests on three prototype test specimens, including two new latticed walls with diagonal bracing and one traditional type were performed to investigate the mechanical properties such as bearing capacity, hysteresis curve, skeleton curve, ductility, stiffness degradation as well as the failure mode. The seismic performance difference of the new with diagonal bracing and the traditional latticed walls were compared and analyzed, the effect of EPSC on the seismic performance of composite walls were discussed. The test phenomena and analytical results showed that the new EPSC non-demoulding latticed wall with diagonal bracing had the higher bearing capacity, elastoplastic deformation capacity and energy dissipation capacity than the traditional one; the EPSC and the reinforced concrete skeleton works together to improve the energy dissipation capacity significantly, and to a certain extent improve the bearing capacity, stiffness and other mechanical properties of the wall. The study revealed the seismic performance characteristics of this new lattice composite wall, providing technical support for the engineering application.

     

  • 中国村镇低层和多层建筑抗震能力薄弱,在近年来发生的中强地震中损坏严重[1-6]。优化结构体系以提高村镇低、多层建筑的抗震性能的需求推动了新型住宅结构体系的发展[7-11]。水泥聚苯模壳(EPSC)格构式混凝土墙体结构住宅就是具有代表性的新型结构体系,它融合了装配式和现浇式的建筑施工形式,具有显著的优势。

    EPSC格构式墙体是一种保温结构一体化墙体,具有节能、耐火、易施工等多功能于一体的免拆模壳复合墙体[12-15]。该墙体由模板保温一体的EPSC和钢筋混凝土骨架组成[16]。将工厂生产的带空腔的EPSC在现场组砌成墙板,空腔内配筋并浇筑混凝土,形成网格状保温结构一体化复合墙体[16]。EPSC由废旧聚苯颗粒、水泥、复合改性剂和水等材料通过工业化生产制造而成[15]。EPSC虽然具有多种规格,但传统型EPSC均采用的是田字格构形式,形成的是田字形格构式混凝土墙体[16]。有研究表明[17]:在房屋建设中,将传统EPSC格构式混凝土墙体的受力体系进行改良,增设斜向肋格,得到设置斜向肋格的水泥聚苯免拆模壳的新型格构式混凝土墙体,即米字形格构式混凝土墙体,其受力体系由纵向、横向及斜向肋格组成;相对田字形格构模壳,米字形格构模壳的格构梁(柱)间距是其2倍,设置斜向肋格能够进一步利用格构混凝土的抗压性能,米字形格构模壳梁和柱长度可以设计更长尺寸,即是每一个格构模壳都可以有更大的尺寸,减少所用模壳块数。但是至目前为止,这一新型米字格构式混凝土墙体的动力特性还缺乏研究。

    国内外学者通过试验和数值模拟对传统型格构式墙体的抗震性能进行了多方面研究。对于格构式墙体在地震危险区的应用研究有:Dusicka等[18]对一系列不同高宽比不同竖向荷载的足尺墙片进行拟静力试验;Asadi等[19]采用数值模拟的方法对格构式墙体在高地震风险区的应用进行研究,并与试验结果进行对比。王奇[20]、孙建超[21]等研究了以聚苯颗粒混凝土(EPS)空心砌块做保温砌模形成的保温砌模现浇承重墙体系,发现该体系适用于7度抗震设防9层以下或8度抗震设防7层以下的建筑结构。为推广其在村镇中的应用,张微敬等[22]调整网格尺寸,研发了适用于抗震设防烈度8度、6层以下建筑结构的大网格墙承重墙体系;韩文龙等[23]通过拟静力试验,研究了预制空心板剪力墙构造连接的可行性,发现该墙体构造连接合理且抗震性能良好;周静海[24-25]等对不同轴压比和剪跨比的保温砌模格构式混凝土墙体进行拟静力试验研究,发现该墙体抗震性能良好。进一步考虑建筑材料的可持续发展,实现建筑垃圾资源化,结合村镇低、多层结构抗震研究,曹万林及其团队[26-28]在EPS保温模块内浇筑再生混凝土,提出了异形边框保温模块单排配筋再生混凝土剪力墙体系,并分别进行了该体系的低矮剪力墙和中高剪力墙拟静力试验研究,发现该体系在村镇低、多层建筑中具有良好的抗震性能。熊立红[29]、唐柏赞[16,30-31]等将EPSC格构式混凝土墙体作为填充墙,进行了足尺RC框架–EPSC格构式混凝土填充墙结构模型的振动台试验,以填充墙开洞形式和墙框连接方式为参数,研究了该模型结构在地震作用下的抗震性能,发现EPSC格构式混凝土墙体作为填充墙和RC框架共同工作抗震性能良好。

    已有研究主要针对田字形的传统型格构式混凝土墙体,其墙体骨架主要由格构梁(墙体骨架中的横肢)和格构柱(墙体骨架中的竖肢)组成,而且对充当模板作用的EPSC对复合墙体抗震性能的影响研究较少。针对新型的米字形格构式混凝土墙体的动力特性及应用这一种墙体的结构抗震性能的研究还尚未开展。为了对新型的米字形格构式混凝土墙体的应用提供理论和技术支撑,本文制作斜向肋的新型和传统型的EPSC格构式混凝土墙体,分别进行3个格构式墙体原型试件的低周往复荷载试验,主要对是否剔除模壳(EPSC)、不同格构形式(设置斜向肋格的新型和传统型)对格构式混凝土墙体滞回性能、承载力、延性、刚度退化和耗能能力等性能,以及破坏特征的影响进行分析,旨在获得米字形格构式混凝土墙体的动力特性及相应结构的抗震性能的一些基础资料和初步认识。

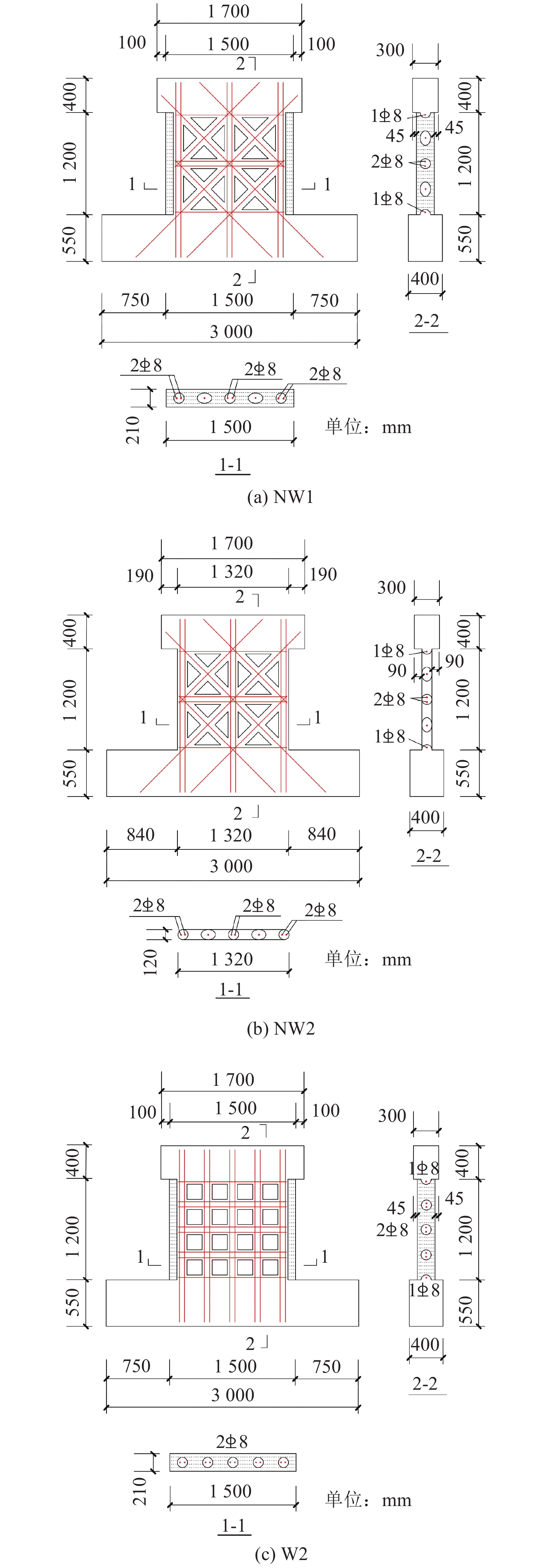
    设计2个设置斜向肋格的新型米字格构式混凝土墙体原型试件,编号分别为NW1、NW2;1个传统型田字格构式混凝土墙体原型试件,编号为W3。试件NW1和NW2的差异为是否剔除模壳;试件NW1和W3的差异为格构形式不同。传统型试件W3骨架仅由水平向格构梁、竖向格构柱及其内钢筋组成。试件NW1是在试件W3的基础上,调整格构梁、柱中心间距,增设斜向肋格而成。EPSC及其尺寸如图1所示,其材料性能见表1。墙体试件厚度210 mm, 其中,EPSC壁厚45 mm,芯孔直径均为 120 mm。墙体封边EPSC厚90 mm。试件NW1、NW2的格构梁(柱)中心间距均为600 mm,试件W3格构梁(柱)中心间距均为300 mm。各原型试件详细尺寸和配筋如图2所示。试件主要参数见表2。考虑后续试验结果的可比性需要,在设计3个试件时控制单位面积墙体的混凝土和钢筋用量基本一致。

    图  1  EPSC示意图
    Fig.  1  Schematic diagram of EPSC
    下载: 全尺寸图片
    表  1  EPSC材料性能
    Table  1  Properties of EPSC
    表观密度/
    (kg·m–3)
    导热系数/
    (W·m–1·K–1)
    抗压强度/
    MPa
    劈裂抗拉
    强度/MPa
    耐火极限/
    h
    ≤380 ≤0.08 ≥0.40 ≥0.10 ≥3
    图  2  原型试件尺寸及配筋
    Fig.  2  Prototype wall specimen details
    下载: 全尺寸图片
    表  2  试件参数
    Table  2  Parameters of the specimens
    试件编号 尺寸(高×宽×厚)/
    (mm×mm×mm)
    芯孔直径/mm 配筋直径/mm 配筋率/% 混凝土立方体抗压
    强度fcu/MPa
    格构形式 EPSC
    格构梁、柱 斜向肋 格构梁、柱 斜向肋
    NW1 1200×1500×210 120 8 8 0.890 0.445 20.8 新型米字
    NW2 1200×1320×120 120 8 8 0.890 0.445 20.8 新型米字
    W3 1200×1500×210 120 8 0.890 20.8 传统型田字

    图2中,各试件格构式墙体所用混凝土设计等级为C20,墙体钢筋均采用HRB335级。在试验前对模型结构的材料特性进行了室内测定,混凝土立方体抗压强度fcu为20.8 MPa。钢筋力学性能见表3

    表  3  钢筋力学性能
    Table  3  Properties of reinforcements
    钢筋直径/
    mm
    屈服强度/
    MPa
    抗拉强度/
    MPa
    弹性模量/
    GPa
    伸长率/%
    8 410 570 201 21.6

    试验在东北电力大学土木工程实验研究中心进行,加载装置及现场如图3所示。试验加载装置主要由模拟结构上部荷载的竖向加载装置和模拟地震作用的水平向加载装置组成。竖向荷载用1个液压千斤顶施加在试件加载梁顶的钢梁上,千斤顶可随试件的水平位移而移动,使竖向荷载始终垂直,并控制墙体试件轴压比为0.1。水平荷载用千斤顶从试件加载梁的一侧施加。为防止试件产生剪切滑移,通过高强地锚螺栓将试件基础梁与试验装置基础相连。

    图  3  试验加载装置及现场
    Fig.  3  Loading device of the test
    下载: 全尺寸图片

    根据《建筑抗震试验规程》JGJ/T 101—2015[32],水平向加载分两阶段采用不同的加载控制方法:屈服前采用荷载控制,级差10 kN,每级荷载反复1次;试件屈服后采用顶点位移控制加载,以屈服位移的倍数作为位移增量,每级位移幅值反复2次,直至试件水平荷载下降到其峰值荷载的 85%以下或者试件丧失承载能力,无法继续安全加载。

    竖向荷载用力传感器量测,在基础梁顶面布置位移计用于测量基础梁在加载过程中的滑移。用应变片量测墙体试件不同钢筋(水平向、竖向、斜向)的应变反应,应变片编号为S,钢筋应变测点布置见图4

    图  4  钢筋应变测点布置图
    Fig.  4  Arrangement of strain gauges of specimens
    下载: 全尺寸图片

    各试件破坏形态如图5所示。试件NW1破坏形态如图5(a)所示。由图5(a)可知:设置斜向肋格的新型米字试件NW1在水平加载至50 kN时,首先在墙体角部出现水平裂缝;载荷进一步增加,水平裂缝扩展并向墙体的中间延伸,墙体下部和中部斜裂缝不断增加;当加载至100 kN时,斜裂缝逐渐上移;试件屈服后继续加载使试件顶点位移δ达到7.5 mm(位移角θ=3/560)时,已有的水平和斜裂缝扩展加宽并沿倾斜方向传播;当位移δ达到9 mm(θ=9/1 400)时,试件裂缝发展并呈现出“ X”形,结果表明,试件刚度已大幅下降;当位移δ达到14.91 mm(θ=3/280)时,墙体的中部和上部相继出现“ X”形裂缝,墙体下部水平裂缝贯穿,最大裂缝宽度达到5 mm。格构边柱底部裂缝的小片EPSC压碎并剥落,试验结束,试件最终破坏形态如图5(a)所示,表现出剪切型破坏特征。

    图  5  各试件破坏形态
    Fig.  5  Failure mode of the specimens
    下载: 全尺寸图片

    试件NW2破坏形态如图5(b)所示。由图5(b)可知:设置斜向肋格的新型米字且剔除模壳试件NW2在水平加载至20 kN时,边柱根部节点、中间节点以及斜向肋首先出现水平和半圆形裂缝,相比试件NW1,试件NW2出现裂缝的加载幅值较小;随着荷载增大,裂缝由边柱逐渐发展至中柱、格构梁、斜向肋交叉节点;此时裂缝主要在墙体中下部延伸、聚集。主要表现为:中柱和斜向肋出现半圆或环形裂缝;斜向肋或格构梁柱交叉节点出现水平向和斜向长裂缝。加载至100 kN时,裂缝由试件中下部向边柱上部发展(见图5(b))。试件屈服后采用位移控制加载,当位移δ达到8 mm(θ=1/175)时,试件上部边柱、中柱和斜向构件裂缝数量增多,已有的裂缝,尤其边柱和斜向构件裂缝加宽。当位移δ达到11.60 mm(θ=29/3 500)时,斜向肋上的环形裂缝宽度增加明显;边柱根部水平向和斜向裂缝宽度继续增加,裂缝宽度达到5 mm,出于安全考虑结束加载。相比试件NW1,剔除模壳试件NW2的最大弹塑性位移有所降低,试件NW2的裂缝以格构梁和格构柱环形裂缝为主,以及边柱根部区域,而试件NW1裂缝主要集中在墙底部。

    试件W3破坏形态如图5(c)所示。由图5(c)可知:传统型田字格构式墙体试件W3在水平加载至30 kN时,墙体中下部受拉侧出现水平裂缝,与设置斜向肋格的新型试件NW1相比,传统型试件出现裂缝的加载幅值较小;荷载进一步增大,墙体角部和边缘的斜裂缝向墙体中间延伸,交叉裂缝不断增加,且裂缝由中下部向墙体上部发展;当位移δ达到10.18 mm(θ=51/7 000)时,数条斜裂缝沿墙体对角方向突然形成,墙体上中下部均有分布;当位移δ达到11.17 mm(θ=1/125)时,边柱根部小块EPSC因受挤压边缘挤碎,试件最终破坏形态如图5(c)所示。传统型格构式墙体试件W3破坏特征与试件NW1类似,表现为剪切型破坏,但裂缝分布差异性较大,可能是由于试件NW1格构梁(柱)间距增加1倍,增设斜向肋格,更能充分发挥格构混凝土的抗压性能。

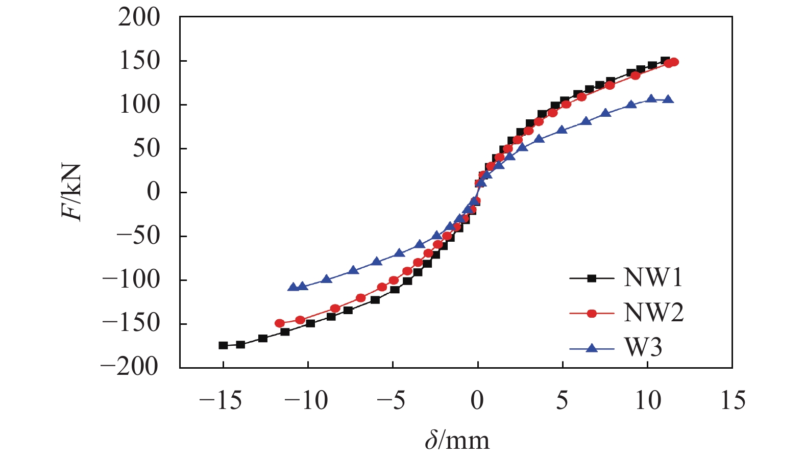
    试件NW1、NW2、W3水平荷载–顶点位移(F–δ)的滞回曲线见图6。由图6可以看出:试件在开裂前,其荷载–顶点位移曲线基本处于线弹性状态,卸载时残余变形很小,可忽略不计;随着水平荷载增大,墙面开裂,钢筋屈服,滞回环面积逐渐增加;随着顶点位移进一步增大,滞回环残余变形相应增大,滞回曲线出现不同程度的捏缩现象,其中,试件NW2和试件W3捏缩特征比较明显。与试件NW1相比,试件NW2剔除模壳,在加载初期和卸载后期墙体剪切滑移较大,滞回环包络面积变小,捏拢现象较重,使其耗能能力降低,表明模壳与设置斜向肋格的新型米字格构式混凝土骨架墙体在水平往复荷载作用下,能够表现出良好且稳定的滞回性能;而试件W3滞回曲线中部捏缩严重,耗能能力相对较弱,表明设置斜向肋格的新型米字格构式混凝土骨架墙体能有效提高墙体的初始刚度和极限承载力,改善墙体的受力性能。

    图  6  各试件滞回曲线
    Fig.  6  Hysteresis curves of specimens
    下载: 全尺寸图片

    加载初期,试件NW1比试件NW2的初始刚度略高,表明:模壳对提高墙体初始刚度有一定贡献;随着荷载增加,试件中模壳逐渐开裂并退出工作,模壳对试件性能的加强作用也在减弱,因此试件NW1和NW2最终具有相近的割线刚度;对于试件W3,其初始刚度值最小,且在加载过程中,割线刚度退化尤为严重,表明设置斜向肋格的新型米字格构式墙体具有很好的抗测刚度和承载力,而且强于传统的格构式墙体。各试件水平荷载–顶点位移(F–δ)骨架曲线对比见图7

    图  7  各试件骨架曲线
    Fig.  7  Skeleton curves of specimens
    下载: 全尺寸图片

    屈服荷载Fy采用能量等值法求得。相对值为各试件与试件NW1的相应值的比值,余下亦同。各试件骨架曲线特征点见表4,由表4可知:

    表  4  试件各阶段特征点
    Table  4  Test results of characteristic points
    试件编号 开裂点 屈服点 极限点
    Fcr/kN Fcr相对值 Fy/kN Fy均值/kN Fy相对值 Fu/kN Fu均值/kN Fu相对值
    NW1 +49.34 1.000 +100.90 108.05 1.000 +150.33 162.00 1.000
    –115.20 –173.66
    NW2 +20.22 0.410 +99.40 100.70 0.932 +148.73 148.61 0.917
    –102.00 –148.49
    W3 +30.70 0.622 +71.17 71.59 0.663 +106.11 107.06 0.661
    –72.01 –108.00
      注:FcrFyFu分别为开裂、屈服、极限荷载。

    1) 与试件NW2相比,试件NW1的开裂荷载提高了144%,屈服荷载和极限荷载提高不显著。表明EPSC可以延缓复合墙体裂缝的出现,随着EPSC逐渐开裂损伤,EPSC对复合墙体承载力的贡献逐渐减弱,对试件承载力提高作用有限。

    2)与试件W3相比,试件NW1的开裂荷载提高了61%,屈服荷载和极限荷载分别提高了51%和51%。表明增设斜向肋格,能有效延缓复合墙体裂缝的出现,且可显著提高墙体的承载力。

    各试件屈服位移δy(正负两向均值)、弹塑性最大位移δu(正负两向均值)及位移延性系数μμ=δuδy)见表5

    表  5  各试件屈服、弹塑性最大位移与位移延性系数
    Table  5  Displacement and displacement ductility ratio
    试件编号 δy/mm δy相对值 δu/mm δu相对值 μ μ相对值
    NW1 5.08 1.000 12.96 1.000 2.55 1.000
    NW2 5.03 0.990 11.56 0.892 2.30 0.902
    W3 4.99 0.982 10.99 0.848 2.20 0.863

    表5可知:

    1)与试件NW2相比,试件NW1的屈服位移稍有增加,弹塑性最大位移和位移延性系数分别提高了12%和11%。表明EPSC和墙体骨架协同工作,可提高墙体的弹塑性变形能力和延性。

    2)与试件W3相比,试件NW1的屈服位移略有提高,弹塑性最大位移和位移延性系数分别提高了18%和16%。表明增设斜向肋格能有效改善复合墙体的变形能力和延性。

    以滞回曲线和骨架曲线为基础,得到试件的割线刚度。各试件割线刚度–顶点位移(K–δ)曲线如图8所示,该曲线表征各试件低周反复荷载作用下的刚度退化规律。由图8可知:在水平往复荷载下,各试件刚度退化表现出先快后慢的趋势。由于模壳和斜向肋格的贡献,试件NW1具有最高的初始刚度、峰值荷载以及极限位移。模壳对墙体试件受力性能影响较小,试件NW1和NW2具有相近的割线刚度和退化特征。与试件W3相比,试件NW1初始刚度提高了92%,随着荷载及顶点位移增加,墙体裂缝产生并发展,试件的割线刚度均不断退化并趋于稳定,且试件NW1具有比试件NW2较大的割线刚度。试验结果表明,增设斜向肋格的新型米字格构式混凝土墙体具有很好的抗侧刚度和承载力,而且强于传统型田字格构式墙体。

    图  8  各试件刚度退化曲线
    Fig.  8  Stiffness degradation curves of specimens
    下载: 全尺寸图片

    以试件的累积滞回耗能作为指标来评价其耗能能力,即滞回曲线越饱满,其包络面积越大,累积滞回耗能越高,试件耗散地震能量的能力越好。各试件累积耗能–顶点位移(E–δ)曲线如图9所示。试件破坏前一级荷载作用下各试件累积耗能值列于表6

    图  9  各试件累积耗能
    Fig.  9  Accumulated energy dissipation of specimens
    下载: 全尺寸图片
    表  6  各试件累计耗能能力比较
    Table  6  Comparison of cumulative energy dissipation
    试件编号 累积耗能E/(kN·mm) 相对值
    NW1 23282 1.000
    NW2 14072 0.604
    W3 7923 0.340

    图9表6可知:

    1)相同位移下,试件NW1、NW2、W3的累计耗能依次降低。

    2)与试件NW2相比,试件NW1的累计耗能提高了65%,表明模壳及其裂缝的开展,可有效提高复合墙体的耗能能力。

    3)与试件W3相比,试件NW2的累计耗能提高了194%,表明增设斜向肋格可显著提高墙体的耗能能力。

    1)不同格构形式的复合墙体试件(NW1、W3),虽均表现出相同的剪切破坏模式,但增加斜向肋格,提高了复合墙体的抗震性能,结果表明在格构式混凝土墙体中虽然没有改变格构式混凝土墙体的破坏模式,但可进一步充分利用格构混凝土的抗压性能。

    2)增设斜向肋格能提高了格构式混凝土墙体的承载力,改善墙体的延性和抗侧性能,且能大幅提高墙体初始刚度和耗能能力。

    3)与带模壳试件NW1相比,剔除模壳试件NW2的墙体裂缝更早出现,墙体更快进入损伤破坏状态。说明模壳和混凝土骨架具有一定的协同工作能力,模壳对提高复合墙体的弹塑性变形能力和承载力有一定贡献,能延缓墙体损伤过程。而且EPSC上裂缝开展可耗散部分能力,使得有EPSC试件耗能能力显著提高。对于新型墙体,剔除模壳有可能会影响墙体试件的力学性能及破坏模式。

    带斜向肋格的新型米字格构式混凝土墙体和传统型田字格构式混凝土墙体的动力特性试验结果,展示两种格构式墙体具有类似的动力特性,且在单位面积墙体的混凝土和钢筋用量基本一致的情况下,新型米字格构式墙体的动力性能优于传统田字格构式的。另外,模壳和混凝土骨架之间具有一定的协同工作能力,能提高格构式混凝土墙体的抗震性能。这一研究结果对在格构式墙体和相应结构抗震性能的数值模拟中忽略模壳影响且能给出保守性分析结果提供了依据,并便于数值模型的简化。本文对新型米字格构式混凝土墙体的研究结果有助于揭示这一新型墙体的抗震性能,并有助于其推广应用。

  • 图  1   EPSC示意图

    Fig.  1   Schematic diagram of EPSC

    下载: 全尺寸图片

    图  2   原型试件尺寸及配筋

    Fig.  2   Prototype wall specimen details

    下载: 全尺寸图片

    图  3   试验加载装置及现场

    Fig.  3   Loading device of the test

    下载: 全尺寸图片

    图  4   钢筋应变测点布置图

    Fig.  4   Arrangement of strain gauges of specimens

    下载: 全尺寸图片

    图  5   各试件破坏形态

    Fig.  5   Failure mode of the specimens

    下载: 全尺寸图片

    图  6   各试件滞回曲线

    Fig.  6   Hysteresis curves of specimens

    下载: 全尺寸图片

    图  7   各试件骨架曲线

    Fig.  7   Skeleton curves of specimens

    下载: 全尺寸图片

    图  8   各试件刚度退化曲线

    Fig.  8   Stiffness degradation curves of specimens

    下载: 全尺寸图片

    图  9   各试件累积耗能

    Fig.  9   Accumulated energy dissipation of specimens

    下载: 全尺寸图片

    表  1   EPSC材料性能

    Table  1   Properties of EPSC

    表观密度/
    (kg·m–3)
    导热系数/
    (W·m–1·K–1)
    抗压强度/
    MPa
    劈裂抗拉
    强度/MPa
    耐火极限/
    h
    ≤380 ≤0.08 ≥0.40 ≥0.10 ≥3

    表  2   试件参数

    Table  2   Parameters of the specimens

    试件编号 尺寸(高×宽×厚)/
    (mm×mm×mm)
    芯孔直径/mm 配筋直径/mm 配筋率/% 混凝土立方体抗压
    强度fcu/MPa
    格构形式 EPSC
    格构梁、柱 斜向肋 格构梁、柱 斜向肋
    NW1 1200×1500×210 120 8 8 0.890 0.445 20.8 新型米字
    NW2 1200×1320×120 120 8 8 0.890 0.445 20.8 新型米字
    W3 1200×1500×210 120 8 0.890 20.8 传统型田字

    表  3   钢筋力学性能

    Table  3   Properties of reinforcements

    钢筋直径/
    mm
    屈服强度/
    MPa
    抗拉强度/
    MPa
    弹性模量/
    GPa
    伸长率/%
    8 410 570 201 21.6

    表  4   试件各阶段特征点

    Table  4   Test results of characteristic points

    试件编号 开裂点 屈服点 极限点
    Fcr/kN Fcr相对值 Fy/kN Fy均值/kN Fy相对值 Fu/kN Fu均值/kN Fu相对值
    NW1 +49.34 1.000 +100.90 108.05 1.000 +150.33 162.00 1.000
    –115.20 –173.66
    NW2 +20.22 0.410 +99.40 100.70 0.932 +148.73 148.61 0.917
    –102.00 –148.49
    W3 +30.70 0.622 +71.17 71.59 0.663 +106.11 107.06 0.661
    –72.01 –108.00
      注:FcrFyFu分别为开裂、屈服、极限荷载。

    表  5   各试件屈服、弹塑性最大位移与位移延性系数

    Table  5   Displacement and displacement ductility ratio

    试件编号 δy/mm δy相对值 δu/mm δu相对值 μ μ相对值
    NW1 5.08 1.000 12.96 1.000 2.55 1.000
    NW2 5.03 0.990 11.56 0.892 2.30 0.902
    W3 4.99 0.982 10.99 0.848 2.20 0.863

    表  6   各试件累计耗能能力比较

    Table  6   Comparison of cumulative energy dissipation

    试件编号 累积耗能E/(kN·mm) 相对值
    NW1 23282 1.000
    NW2 14072 0.604
    W3 7923 0.340
  • [1] Cai Gaochuang,Su Qiwang.Effect of infills on seismic performance of reinforced concrete frame structures—A full-scale experimental study[J].Journal of Earthquake Engineering,2019,23(9):1531–1559. doi: 10.1080/13632469.2017.1387194
    [2] 潘毅,陈建,包韵雷,等.长宁6.0级地震村镇建筑震害调查与分析[J].建筑结构学报,2020,41(增刊):297–306. doi: 10.14006/j.jzjgxb.2020.S1.033

    Pan Yi,Chen Jian,Bao Yunlei,et al.Seismic damage investigation and analysis of rural buildings in Ms 6.0 Changning earthquake[J].Journal of Building Structures,2020,41(Supp):297–306 doi: 10.14006/j.jzjgxb.2020.S1.033
    [3] 张令心,朱柏洁,陶正如,等.九寨沟7.0级地震房屋震害现场调查及其破坏特征[J].地震工程学报,2019,41(4):1053–1059. doi: 10.3969/j.issn.1000-0844.2019.04.1053

    Zhang Lingxin,Zhu Baijie,Tao Zhengru,et al.Field investigation and failure characteristics of buildings damaged by the 7.0-Magnitude earthquake in Jiuzhaigou[J].China Earthquake Engineering Journal,2019,41(4):1053–1059 doi: 10.3969/j.issn.1000-0844.2019.04.1053
    [4] 公茂盛,汪云龙,李伟,等.新疆塔什库尔干5.5级地震建筑结构震害[J].世界地震工程,2019,35(3):56–62. https://www.cnki.com.cn/Article/CJFDTOTAL-SJDC201903007.htm

    Gong Maosheng,Wang Yunlong,Li Wei,et al.Seismic damage of buildings in Xinjiang Tashkurgan M5.5 earthquake[J].World Earthquake Engineering,2019,35(3):56–62 https://www.cnki.com.cn/Article/CJFDTOTAL-SJDC201903007.htm
    [5] Li Xiaoli,Li Zhiqiang,Yang Jiansi,et al.Seismic vulnerability comparison between rural Weinan and other rural areas in Western China[J].International Journal of Disaster Risk Reduction,2020,48:101756. doi: 10.1016/j.ijdrr.2020.101576
    [6] Xiong Feng,Xie Lingzhi,Ge Qi,et al.Reconnaissance report on buildings damaged during the Lushan earthquake,April 20,2013[J].Natural Hazards,2015,76(1):635–650. doi: 10.1007/s11069-014-1511-y
    [7] 刘文超,曹万林,张克胜,等.装配式轻钢框架–复合轻墙结构抗震性能试验研究[J].建筑结构学报,2020,41(10):20–29. doi: 10.14006/j.jzjgxb.2018.0340

    Liu Wenchao,Cao Wanlin,Zhang Kesheng,et al.Seismic performance of fabricated composite structures with lightweight steel frames and single-row-reinforced recycled concrete wallboards[J].Journal of Building Structures,2020,41(10):20–29 doi: 10.14006/j.jzjgxb.2018.0340
    [8] 曹万林,刘子斌,刘岩,等.装配式轻型钢管混凝土框架–复合墙共同工作性能试验研究[J].建筑结构学报,2019,40(8):12–22. doi: 10.14006/j.jzjgxb.2018.0105

    Cao Wanlin,Liu Zibin,Liu Yan,et al.Experimental study on combining effect of assembled lightweight CFST frames with composite walls[J].Journal of Building Structures,2019,40(8):12–22 doi: 10.14006/j.jzjgxb.2018.0105
    [9] 初明进,刘继良,侯建群,等.带竖向接缝的空心模剪力墙受剪性能试验研究及承载力计算[J].工程力学,2020,37(1):183–194. https://www.cnki.com.cn/Article/CJFDTOTAL-GCLX202001023.htm

    Chu Mingjin,Liu Jiliang,Hou Jianqun,et al.Experimental study on shear behaviors and bearing capacity of shear walls built with precast concrete two-way hollow slabs with vertical joints[J].Engineering Mechanics,2020,37(1):183–194 https://www.cnki.com.cn/Article/CJFDTOTAL-GCLX202001023.htm
    [10] Xiong Chen,Chu Mingjin,Liu Jiling,et al.Shear behavior of precast concrete wall structure based on two-way hollow-core precast panels[J].Engineering Structures,2018,176:74–89. doi: 10.1016/j.engstruct.2018.08.103
    [11] 文波,张路,姜孝勇.村镇建筑装配整体式配筋砌体结构的抗震性能研究[J].防灾减灾工程学报,2018,38(4):649–657. doi: 10.13409/j.cnki.jdpme.2018.04.008

    Wen Bo,Zhang Lu,Jiang Xiaoyong.A study on the seismic performance of the rural monolithic prefabricated reinforced concrete masonry structures[J].Journal of Disaster Prevention and Mitigation Engineering,2018,38(4):649–657 doi: 10.13409/j.cnki.jdpme.2018.04.008
    [12] Xu Yi,Jiang Linhua,Xu Jinxia,et al.Mechanical properties of expanded polystyrene lightweight aggregate concrete and brick[J].Construction and Building Materials,2012,27(1):32–38. doi: 10.1016/j.conbuildmat.2011.08.030
    [13] Babu K G,Babu D S.Behaviour of lightweight expanded polystyrene concrete containing silica fume[J].Cement and Concrete Research,2003,33(5):755–762. doi: 10.1016/S0008-8846(02)01055-4
    [14] Schackow A,Effting C,Folgueras M V,et al.Mechanical and thermal properties of lightweight concretes with vermiculite and EPS using air-entraining agent[J].Construction and Building Materials,2014,57:190–197. doi: 10.1016/j.conbuildmat.2014.02.009
    [15] 中国建筑科学研究院.水泥聚苯模壳格构式混凝土墙体住宅技术规程:CECS173:2004[S].北京:中国计划出版社,2005.
    [16] Tang Baizan,Chen Su,Li Xiaojun,et al.Seismic performance of RC frames with EPSC latticed concrete infill walls[J].Engineering Structures,2019,197:109437. doi: 10.1016/j.engstruct.2019109437
    [17] 本刊讯.“设置斜向肋格的水泥聚苯免拆模壳混凝土墙体结构”技术论证会在京召开[J].墙材革新与建筑节能,2017(1):1. https://www.cnki.com.cn/Article/CJFDTOTAL-QCGJ201701066.htm
    [18] Dusicka P,Kay T.In-plane lateral cyclic behavior of insulated concrete form grid walls[J].Journal of Structural Engineering,2011,137(10):1075–1084. doi: 10.1061/(ASCE)ST.1943-541X.0000354
    [19] Asadi P,Madandoust R,Zahrai S M.Response modification factor due to ductility of screen-grid ICF wall system in high seismic risk zones[J].KSCE Journal of Civil Engineering,2017,21(1):258–264. doi: 10.1007/s12205-016-0083-7
    [20] 王奇,钱稼茹,马宝民,等.保温砌模混凝土网格墙抗震性能试验研究[J].建筑结构学报,2004,25(4):15–25. doi: 10.14006/j.jzjgxb.2004.04.004

    Wang Qi,Qian Jiaru,Ma Baoming,et al.Experiment study on seismic behavior of concrete grillage walls[J].Journal of Building Structures,2004,25(4):15–25 doi: 10.14006/j.jzjgxb.2004.04.004
    [21] 孙建超,钱稼茹,方鄂华,等.小剪跨比保温砌模混凝土墙抗震性能试验研究[J].建筑结构学报,2002,23(2):19–26. doi: 10.14006/j.jzjgxb.2002.02.003

    Sun Jianchao,Qian Jiaru,Fang Ehua,et al.Experimental study on seismic behavior of concrete grille wall with small shear span ratio[J].Journal of Building Structures,2002,23(2):19–26 doi: 10.14006/j.jzjgxb.2002.02.003
    [22] 张微敬,杜轶男,康洪震,等.大网格混凝土剪力墙抗震性能试验研究[J].建筑结构学报,2011,32(5):116–124. doi: 10.14006/j.jzjgxb.2011.05.016

    Zhang Weijing,Du Yinan,Kang Hongzhen,et al.Experimental study on seismic behavior of large grid size RC shear walls[J].Journal of Building Structures,2011,32(5):116–124 doi: 10.14006/j.jzjgxb.2011.05.016
    [23] 韩文龙,钱稼茹,张微敬,等.预制空心板剪力墙抗震性能试验研究[J].建筑结构学报,2020,41(2):32–41. doi: 10.14006/j.jzjgxb.2017.0735

    Han Wenlong,Qian Jiaru,Zhang Weijing,et al.Experimental study on seismic behavior of precast concrete hollow shear walls[J].Journal of Building Structures,2020,41(2):32–41 doi: 10.14006/j.jzjgxb.2017.0735
    [24] 周静海,朱静雯,孟宪宏,等.保温砌模格构式混凝土墙体抗震性能试验[J].沈阳建筑大学学报(自然科学版),2010,26(6):1095–1100. https://www.cnki.com.cn/Article/CJFDTOTAL-SYJZ201006016.htm

    Zhou Jinghai,Zhu Jingwen,Meng Xianhong,et al.Experimental research on seismic behavior of concrete lattice walls[J].Journal of Shenyang Jianzhu University (Natural Science),2010,26(6):1095–1100 https://www.cnki.com.cn/Article/CJFDTOTAL-SYJZ201006016.htm
    [25] 周静海,王鹏里,孟宪宏,等.小剪跨比格构式混凝土墙体抗震性能试验[J].地震工程与工程振动,2011,31(3):127–133. doi: 10.13197/j.eeev.2011.03.022

    Zhou Jinghai,Wang Pengli,Meng Xianhong,et al.Experimental study on seismic behavior of concrete grillage walls with different shear span ratio[J].Journal of Earthquake Engineering and Engineering Vibration,2011,31(3):127–133 doi: 10.13197/j.eeev.2011.03.022
    [26] 周中一,曹万林,张勇波.L形边框单排配筋保温模块矮剪力墙抗震性能研究[J].土木工程学报,2016,49(12):35–44. doi: 10.15951/j.tmgcxb.2016.12.005

    Zhou Zhongyi,Cao Wanlin,Zhang Yongbo.Study on seismic performance of low-rise shear wall with thermal insulation blocks of single-row steel reinforcement and L-shaped frame[J].China Civil Engineering Journal,2016,49(12):35–44 doi: 10.15951/j.tmgcxb.2016.12.005
    [27] 曹万林,程娟,张勇波,等.保温模块单排配筋再生混凝土低矮剪力墙抗震性能试验研究[J].建筑结构学报,2015,36(1):51–58. doi: 10.14006/j.jzjgxb.2015.01.007

    Cao Wanlin,Cheng Juan,ZhangYongbo,et al.Experiment of seismic behavior of low-rise recycled aggregate concrete shear wall with insulation blocks and single layer of reinforcement[J].Journal of Building Structures,2015,36(1):51–58 doi: 10.14006/j.jzjgxb.2015.01.007
    [28] 张勇波,曹万林,周中一,等.保温模块单排配筋再生混凝土中高剪力墙抗震性能试验研究[J].建筑结构学报,2015,36(9):29–36. doi: 10.14006/j.jzjgxb.2015.09.004

    Zhang Yongbo,Cao Wanlin,Zhou Zhongyi,et al.Experimental study on seismic behavior of mid-rise recycled aggregate concrete shear wall with insulation blocks and single layer reinforcement[J].Journal of Building Structures,2015,36(9):29–36 doi: 10.14006/j.jzjgxb.2015.09.004
    [29] 熊立红,唐柏赞,陈军法.RC框架–格构混凝土填充墙结构振动台试验研究[J].地震工程与工程振动,2014,34(增刊1):734–737. doi: 10.13197/j.eeev.2014.S0.733.xionglh.114

    Xiong Lihong,Tang Baizan,Chen Junfa.Shaking table tests on RC frame-lattice in filled structures[J].Journal of Earthquake Engineering and Engineering Dynamics,2014,34(Supp1):734–737 doi: 10.13197/j.eeev.2014.S0.733.xionglh.114
    [30] 唐柏赞,熊立红,李小军,等.足尺水泥聚苯模壳格构式混凝土填充墙钢筋混凝土框架抗震性能试验研究[J].建筑结构学报,2020,41(9):13–23. doi: 10.14006/j.jzjgxb.2019.0034

    Tang Baizan,Xiong Lihong,Li Xiaojun,et al.Experimental study on seismic behavior of full-scale reinforced concrete frame with EPSC latticed concrete infill wall[J].Journal of Building Structures,2020,41(9):13–23 doi: 10.14006/j.jzjgxb.2019.0034
    [31] Tang Baizan,Li Xiaojun,Chen Su,et al.Shaking table test of a RC frame with EPSC latticed concrete infill wall[J].Shock and Vibration,2017,2017:7163560. doi: 10.1155/2017/7163560
    [32] 中华人民共和国住房和城乡建设部.建筑抗震试验规程:JGJ /T 101—2015[S].北京:中国建筑工业出版社,2015.
图(9)  /  表(6)

本文结构

    /

    返回文章
    返回