Prediction of Uplift Capacity of Shallow–Buried Inclined Strip Anchor Plate Based on Nonlinear Mohr–Coulomb Failure Criterion
-
摘要: 针对浅埋倾斜布置条形锚板抗拔承载力预测问题,本文采用非线性Mohr–Coulomb破坏准则,提出了极限上拔荷载作用下锚板上方土体的非对称曲线型破坏机制,并利用极限分析上限法与虚功率原理,导出了浅埋倾斜条形锚板极限抗拔力和土体破裂曲线的理论解析解。在此基础上,分析得到了埋深比、布设倾角、非线性系数、初始黏聚力、土体重度和地面超载等参数对锚板极限抗拔力和土体破裂范围的影响规律。研究结果显示:锚板极限抗拔力随布设倾角、埋深比、土体初始黏聚力、重度与地面超载增加而增大,但随非线性系数增加而减小;土体破裂范围随非线性系数和土体重度增加而减小,随初始黏聚力和地面超载增加而增大;锚板倾角、埋深比、土体黏聚力与非线性系数对倾斜条形锚板极限抗拔力和土体破裂范围影响较为显著,在工程设计及施工中应予以重视。将本文结果和现有研究工作进行对比分析,本文方法计算求得的锚板极限抗拔力及土体破裂范围与已有研究方法成果具有较好的吻合特性,进一步验证了本文方法的有效性。本文研究工作可为条形锚板设计及施工提供一定理论参考。
-
关键词:
- 非线性Mohr–Coulomb破坏准则 /
- 倾斜锚板 /
- 抗拔承载力 /
- 上限定理
Abstract: Aiming at the prediction of the uplift capacity of shallow-buried inclined strip anchor plates, the nonlinear Mohr-Coulomb failure criterion was employed in the analyses, and an asymmetric curve failure mechanism of the soil mass above the anchor plate in a limit state was proposed. Then based on the upper bound method and the principle of virtual power, the analytical solutions for the ultimate pullout force of the anchor plate and the soil failure curve were deduced. On this basis, the influence laws of buried depth ratio, inclination angle, nonlinear coefficient, initial cohesion, unit weight, and ground overload on the ultimate pullout force and soil failure range were obtained. The results show that the ultimate pullout force of the anchor plate increases with the increase of inclination angle, buried depth ratio, initial cohesion, unit weight, and ground overload, but decreases with the increase of nonlinear coefficient. The failure range of the soil mass decreases with the increase of nonlinear coefficient and unit weight but increases with the increase of initial cohesion and ground overload. The inclination angle, buried depth ratio of the anchor plate and the initial cohesion, and nonlinear coefficient of the soil mass have a significant influence on the uplift capacity and failure range, and more attention should be paid to engineering design and construction. Finally, a comparison analysis with existing research works was conducted. The ultimate pullout force and the failure range of the anchor plate obtained by this method are in good agreement with the results of existing research methods, which further verifies the effectiveness of the proposed method. The research work can provide some theoretical references for the design and construction of strip anchor plates. -
锚板是一种埋设于地层土体内部的板式结构基础,可有效为建(构)筑物提供抗拔力。锚板基础具有施工工序简单、经济效益高和对周围环境扰动少等优势,目前已广泛应用于悬浮式海上平台、边坡挡墙、输电塔基础、地下结构抗浮及其他高耸结构等工程领域。常见的锚板形状包括圆形、条形与矩形等。根据工程需要与荷载作用方向要求,在安装锚板时可采用水平、垂直及倾斜等形式进行布设。
在锚板基础设计时,准确预测其抗拔承载力一直是设计人员关注的重点。国内外学者围绕该问题也开展了较为广泛的研究,常用研究方法包括理论分析、数值模拟和室内试验3大类。在理论分析方面,王洪涛[1]、Zhao[2-3]、Hu[4]等基于非线性Mohr–Coulomb准则和极限分析上限定理,研究了不同因素对水平条形锚板极限抗拔力和土体破裂范围的影响规律;余生兵[5-6]、黄茂松[7]等基于锚板破坏的旋转块体集和组合块体集理论,提出了浅埋和深埋条形锚板抗拔承载力预测方法,并探讨了不同因素影响规律;张晓曦等[8]应用极限平衡原理并结合水平条分法,研究了不同参数影响下条形锚板的极限抗拔力;Islam等[9]使用非线性有限元方法研究条形锚板在黏性土中的抗拔影响因素。在数值模拟方面,于龙[10]、刘君[11]等采用弹塑性有限元分析方法并结合数值模拟,对不同固结条件下的锚板抗拔承载力进行深入的分析;Wang等[12]应用有限元分析软件对矩形锚板连续拉拔过程进行数值模拟;Chen[13]、Bhattacharya[14-15]等基于有限元分析方法,研究了条形锚板在不同土体中的拉拔过程;Evans等[16]基于离散元方法分析了水平锚板上拔过程中不同参数对锚固承载力的影响规律。在试验研究方面,朱泳[17]、陈榕[18]等运用改装的试验装置,对锚板在砂土中的抗拔特性进行了研究;郝冬雪等[19]开展了小比例尺拉拔模型试验,分析了锚板形状和尺寸对上拔承载特性的影响;Zhang[20]、Choudhary[21]等通过室内模型试验分别研究了软黏土和加筋砂土中锚板的抗拔性能;Kanitz等[22]基于粒子成像测速技术和模型性试验研究了锚板上拔速度对其抗拔力的影响;Rahimi等[23]基于模型试验并结合有限元分析研究了土工加筋土对提高锚板抗拔性能的影响。
在上述研究工作中,学者们多围绕水平布设锚板进行研究。但在实际工程中,受工程选址或抗拔设计要求影响,不可避免地会选择一定倾斜角度布设锚板,而目前关于倾斜锚板研究还相对较少。锚板形状、布设角度、土体强度参数及破裂特征等因素,均会对锚板抗拔承载性能产生显著影响。本文在现有理论研究工作基础上,基于非线性Mohr–Coulomb破坏准则,进一步围绕浅埋倾斜条形锚板进行研究,提出极限上拔荷载作用下锚板上方土体的非对称曲线型破坏机制,并利用极限分析上限法与变分原理,导出锚板极限抗拔承载力和土体破裂曲线的理论解析解,并分析得到埋深比、布设倾角、非线性系数、土体初始黏聚力、重度及地面超载等参数对锚板抗拔承载力和土体破裂范围的影响规律,可为倾斜工况条形锚板基础设计及施工提供一定理论参考。
1. 浅埋倾斜条形锚板上拔破坏力学模型及基本假设
在斜拉上拔荷载作用下,地层中任一布设倾角α的浅埋条形锚板上方土体会发生破坏,并最终贯通至地表;锚板布设倾角对土体破裂机制产生显著影响。当水平布设锚板时,锚板上方覆土厚度无变化,破裂范围呈现对称性,这与文献[1]的破坏机制一致;当有一定角度布设锚板时,锚板上方覆土厚度发生变化,此时破裂范围呈现非对称性。由于条形锚板沿长度方向较为狭长,将条形锚板简化为平面应变问题进行处理。因此,构造出任一埋设倾角
$ \alpha $ 的浅埋倾斜条形锚板的土体非对称破坏机制,如图1所示。图1中:锚板宽度为$ 2a $ ,承受的极限抗拔力为$ {P_{\text{u}}} $ ,在极限上拔荷载作用下,锚板与上方土体共同以速度$ \dot u $ 沿斜拉方向产生上拔破坏;同时,锚板上拔破坏还受到地面超载$ q $ 影响;以平行于锚板方向为$ x $ 轴,垂直于锚板方向为$ z $ 轴,对应的右侧土体破裂面曲线为$ {f_1}\left( x \right) $ ,左侧土体破裂面曲线为$ {f_2}\left( x \right) $ ;右侧、左侧破裂曲线与地表之间夹角分别为$\; {\beta _1} $ 、$ \;{\beta _2} $ ,对应的破裂宽度分别为$ {l_1} $ 、$ {l_2} $ ;$ {\tau _{{\text{n1}}}} $ 、$ {\sigma _{{\text{n}}1}} $ 为右侧土体破裂面任一点处的剪应力、正应力,$ {\tau _{{\text{n}}2}} $ 、$ {\sigma _{{\text{n2}}}} $ 为左侧土体破裂面任一点处的剪应力、正应力。已有研究结果表明[1-4],地层土体被破坏时对应的强度包络线更接近一外凸曲线,而非传统Mohr–Coulomb破坏准则定义的线性关系。因此,本文采用非线性Mohr–Coulomb破坏准则来定义地层土体的强度破坏特性,如式(1)所示。目前,该种非线性准则已在土层抗拔基础、边坡和隧道等问题分析[24-28]中得到了广泛应用。
$$ {\tau _{\text{n}}} = {c_0}{(1 + {\sigma _{\text{n}}}/{\sigma _{\text{t}}})^{1/m}} $$ (1) 式中:
$ {\sigma _{\text{n}}} $ 和$ {\tau _{\text{n}}} $ 分别为土体破裂面处的剪应力与正应力;$ {c_0} $ 为初始黏聚力,$ {c_0} \geqslant 1 $ ;$ {\sigma _{\text{t}}} $ 为抗拉强度,$ {\sigma _{\text{t}}} \geqslant 0 $ ;$ m $ 为与土体性质有关的非线性系数,且满足$ m \geqslant 1 $ 。在此基础上,本文基于图1提出的浅埋倾斜条形锚板上拔破坏的力学模型,采用Mohr–Coulomb破坏准则与极限分析上限定理求解分析。由上限定理可知,锚板上拔破坏过程的内部能量耗散率与外力功率满足:
$$ \int_V {{\sigma _{ij}}} {\dot \varepsilon _{ij}}{\text{d}}V \geqslant \int_S {{T_i}} {v_i}{\text{d}}S + \int_V {{X_i}} {v_i}{\text{d}}V $$ (2) 式中,
$ {\sigma _{ij}} $ 为应力张量,$ {\dot \varepsilon _{ij}} $ 为应变率张量,$ {v_i} $ 速度场内速度分量,$ S $ 为速度场边界,$ V $ 为失效范围内的土体体积,$ {T_i} $ 和$ {X_i} $ 分别为边界力和体力。在锚板上拔过程中,令外力做功功率等于内部能量耗散率,通过式(2)即可得到临界破坏状态下锚板极限抗拔承载力的上限值。
2. 浅埋倾斜条形锚板上拔破坏的上限分析
基于图1建立的浅埋倾斜条形锚板上拔破坏机制,本节利用上限定理来推导求解锚板极限抗拔承载力与相应土体破裂范围大小。根据上限法分析流程,应首先求解图1破坏机制中产生的内部能量耗散率。由于锚板上方土体满足非线性Mohr–Coulomb破坏准则,则由式(1),可将右侧、左侧土体破裂面处对应的屈服函数分别表示为:
$$ {F_1} = {\tau _{{\text{n1}}}} - {c_0}{\left( {1 + {\sigma _{{\text{n1}}}}/{\sigma _{\text{t}}}} \right)^{1/m}} $$ (3) $$ {F_2} = {\tau _{{\text{n2}}}} - {c_0}{\left( {1 + {\sigma _{{\text{n2}}}}/{\sigma _{\text{t}}}} \right)^{1/m}} $$ (4) 假设土体破裂面处屈服函数与其对应塑性势函数相等,则可建立与非线性Mohr–Coulomb破坏准则相关联的流动法则。破裂面处塑性应变率,可由塑性位势理论进行求解。
$$ {\dot \varepsilon _{ij}} = \dot \lambda \frac{{\partial \delta }}{{\partial {\sigma _{ij}}}}{\text{ }} $$ (5) 式中,
$ {\dot \varepsilon _{ij}} $ 为塑性应变率分量,$ {\sigma _{ij}} $ 为应力分量,δ为土体破坏对应的塑性势函数,$ \dot \lambda $ 为与土体性质有关的塑性因子。以右侧土体破裂面为例,对应的塑性势函数为
$ {\delta _1} $ ,令$ {\delta _1} = {F_1} $ ,将式(3)代入式(5)中,可求得右侧土体破裂面处塑性应变率分量为:$$ \left\{ \begin{gathered} {{\dot \varepsilon }_{{\text{n1}}}} = {{\dot \lambda }_1}\frac{{\partial {\delta _1}}}{{\partial {\sigma _{{\text{n1}}}}}}{\text{ = }} - {{\dot \lambda }_1}{\left( {m{\sigma _{\text{t}}}} \right)^{ - 1}}{c_0}{\left( {1 + {\sigma _{{\text{n1}}}}/{\sigma _{\text{t}}}} \right)^{\left( {1 - m} \right)/m}} , \\ {{\dot \gamma }_{{\text{n1}}}} = {{\dot \lambda }_1}\frac{{\partial {\delta _1}}}{{\partial {\tau _{{\text{n1}}}}}}{\text{ = }}{{\dot \lambda }_1} \\ \end{gathered} \right. $$ (6) 式中,
$ {\dot \varepsilon _{{\rm{n}}1}} $ 和$ {\dot \gamma _{{\rm{n}}1}} $ 分别为右侧破裂面处的塑性正应变率与塑性剪应变率,$ {\dot \lambda _1} $ 为右侧破裂面处的塑性因子。同时,根据图1中几何运动关系,在右侧土体破裂曲面处任取单位长度微元进行分析,如图2所示。
若右侧土体破裂面厚度为
$ {w_1} $ ,则根据破裂面处法向速度分量$ {\dot u_{\text{n}}} $ 与切向速度分量$ {\dot u_{\text{τ }}} $ ,也可将右侧破裂面微元处的塑性正应变率与塑性剪应变率分别表示为:$$ \left\{ \begin{array}{l} {{\dot \varepsilon }_{{\text{n1}}}} = {{\dot u}_{\text{n}}}/{w_1} = \left( {\dot u/{w_1}} \right){\left[ {1 + {{f}_1'}{{\left( x \right)}^2}} \right]^{ - 1/2}}, \\ {{\dot \gamma }_{{\text{n1}}}} = - {{\dot u}_{\text{τ }}}/{w_1} = - \left( {\dot u/{w_1}} \right){{f}_1'}\left( x \right){\left[ {1 + {{f}_1'}{{\left( x \right)}^2}} \right]^{ - 1/2}} \\ \end{array} \right. $$ (7) 式中,
$ {f'_1}\left( x \right) = {\text{d}}{f_1}\left( x \right)/{\text{d}}x $ 。对同一破坏机制,令式(6)和(7)中塑性应变率相等,据此求得
$ {\dot \lambda _1} $ 为:$$ {\dot \lambda _1} = - \left( {\dot u/{w_1}} \right){f'_1}\left( x \right){\left[ {1 + {{f}_1'}{{\left( x \right)}^2}} \right]^{ - 1/2}} $$ (8) 同时,将右侧土体破裂面处正应力与剪应力分别表示为:
$$ {\sigma _{{\text{n1}}}} = - {\sigma _{\text{t}}} + {\sigma _{\text{t}}}{\left[ {{c_0}{{f}_1'}\left( x \right){{\left( {m{\sigma _{\text{t}}}} \right)}^{ - 1}}} \right]^{m/\left( {m - 1} \right)}} $$ (9) $$ {\tau _{{\text{n1}}}} = {c_0}^{m/\left( {m - 1} \right)}{\left[ {{{f}_1'}\left( x \right){{\left( {m{\sigma _{\text{t}}}} \right)}^{ - 1}}} \right]^{1/\left( {m - 1} \right)}} $$ (10) 此时,将右侧土体破裂面处的应力分量分别与应变率分量相乘,叠加后将右侧破裂面处的单位体积内部能量耗散率
$ {\dot D_{i1}} $ 表示为:$$ \begin{aligned}[b] {{\dot D}_{i1}} =& {\sigma _{{\text{n1}}}}{{\dot \varepsilon }_{{\text{n1}}}} + {\tau _{{\text{n1}}}}{{\dot \gamma }_{{\text{n1}}}}{\text{ = }} \\& \Bigg\{ {[ { - {\sigma _{\text{t}}} + {{( {m{\sigma _{\text{t}}}} )}^{1/\left( {1 - m} \right)}}c_0^{m/( {m - 1} )}( {{m^{ - 1}} - 1} )} }\cdot \\& {{{ {{{f}_1'}{{\left( x \right)}^{m/\left( {m - 1} \right)}}} ]} \Bigg/ {\left[ {{w_1}\sqrt {1 + {{f}_1'}{{\left( x \right)}^2}} } \right]}}} \Bigg\} \cdot \dot u \end{aligned} $$ (11) 进一步,将
$ {\dot D_{i1}} $ 沿右侧破裂面曲线f1(x)进行积分,得右侧土体破裂面处的内部能量耗散率$ {\dot W_{i1}} $ 为:$$ \begin{aligned}[b] {{\dot W}_{i1}}{\text{ = }}& - \int_0^{{s_1}} {{{\dot D}_{i1}}} {w_1}{\text{d}}{s_1} = \\& \int_a^{{l_1}\cos \alpha } {\left[ {{\sigma _t} + {{\left( {m{\sigma _{\text{t}}}} \right)}^{1/\left( {1 - m} \right)}}c_0^{m/\left( {m - 1} \right)}} \right.} \cdot \\& \left. {\left( {1 - {m^{ - 1}}} \right){{f}_1'}{{\left( x \right)}^{m/\left( {m - 1} \right)}}} \right]{\text{d}}x \cdot \dot u \end{aligned} $$ (12) 式中,
$ s{}_1 $ 为曲线$ {f_1}\left( x \right) $ 在区间$ \left[ {a,{l_1}\cos \alpha } \right] $ 内总的长度。同理,可求得左侧土体破裂面处的单位体积内部能量耗散率
$ {\dot D_{i2}} $ 为:$$ \begin{aligned}[b] {{\dot D}_{i2}} =& {\sigma _{{\text{n2}}}}{{\dot \varepsilon }_{{\text{n2}}}} + {\tau _{{\text{n2}}}}{{\dot \gamma }_{{\text{n2}}}}{\text{ = }} \\& \Bigg\{ {\left[ { - {\sigma _{\text{t}}} + {{\left( {m{\sigma _{\text{t}}}} \right)}^{1/\left( {1 - m} \right)}}c_0^{m/\left( {m - 1} \right)}\left( {{m^{ - 1}} - 1} \right)} \right.}\cdot \\& {{\left. {{{\left[ { - {{f}_2'}\left( x \right)} \right]}^{m/\left( {m - 1} \right)}}} \right]} \Bigg/ {{{w_2}\sqrt {1 + {{f}_2'}{{\left( x \right)}^2}} } \Bigg\} }} \cdot \dot u \end{aligned} $$ (13) 左侧土体破裂面处的内部能量耗散率
$ {\dot W_{i2}} $ 为:$$ \begin{aligned}[b] {{\dot W}_{i2}}{\text{ = }}& - \int_0^{{s_2}} {{{\dot D}_{i2}}} {w_2}{\text{d}}{s_2}= \\& \int_{ - {l_2}\cos \alpha }^{ - a} {\left\{ {{\sigma _t} + {{\left( {m{\sigma _{\text{t}}}} \right)}^{1/\left( {1 - m} \right)}}c_0^{m/\left( {m - 1} \right)}} \right.} \cdot \\ & \left. {\left( {1 - {m^{ - 1}}} \right){{\left[ { - {{f}_2'}\left( x \right)} \right]}^{m/\left( {m - 1} \right)}}} \right\}{\text{d}}x \cdot \dot u \end{aligned} $$ (14) 式中,
$ s{}_2 $ 为曲线$ {f_2}\left( x \right) $ 在区间$\left[ { - {l_1}\;\cos \;\alpha , - a} \right]$ 内总的长度。将式(12)和(14)相加,即得图1破坏机制对应的总内部能量耗散率
$ {\dot W_i} $ 为:$$\begin{aligned}[b] {{\dot W}_i}{\text{ = }}&{{\dot W}_{i1}} + {{\dot W}_{i2}}{\text{ = }} \int_a^{{l_1}\cos \alpha } {\left[ {{\sigma _{\text{t}}} + {{\left( {m{\sigma _{\text{t}}}} \right)}^{1/\left( {1 - m} \right)}}c_0^{m/\left( {m - 1} \right)}} \right.} \cdot \\& \left. {\left( {1 - {m^{ - 1}}} \right){{f}_1'}{{\left( x \right)}^{m/\left( {m - 1} \right)}}} \right]{\text{d}}x \cdot \dot u + \\& \int_{ - {l_2}\cos \alpha }^{ - a} {\left\{ {{\sigma _t} + {{\left( {m{\sigma _{\text{t}}}} \right)}^{1/\left( {1 - m} \right)}}c_0^{m/\left( {m - 1} \right)}} \right.} \cdot \\ & \left. {\left( {1 - {m^{ - 1}}} \right){{\left[ { - {{f}_2'}\left( x \right)} \right]}^{m/\left( {m - 1} \right)}}} \right\}{\text{d}}x \cdot \dot u \\[-12pt]\end{aligned}$$ (15) 在图1破坏机制中,锚板上方土体发生上拔破坏时受到的外力包括土体自重、地面超载
$ q $ 与锚板极限抗拔力$ {P_u} $ 、对应的外力功率由3部分组成。由于图1破坏机制具有非对称性,以
$ {\textit{z}} $ 坐标轴为界,土体自重做功功率分右侧土体和左侧土体两部分分别进行求解。其中,右侧土体自重的做功功率$ {\dot W_{{\gamma _1}}} $ 表示为:$$ {{\dot W}_{{\gamma _1}}}{\text{ = }} - \left[ {\left( {h{l_1} - \frac{1}{4}l_1^2\sin 2\alpha } \right)\gamma - } {\int_a^{{l_1}\cos \;\alpha } {{f_1}\left( x \right)} \gamma {\text{d}}x} \right] \cdot \dot u\cos \;\alpha $$ (16) 左侧土体自重的做功功率
$ {\dot W_{{\gamma _2}}} $ 表示为:$$ {{\dot W}_{{\gamma _2}}}{\text{ = }} - \left[ {\left( {h{l_2} + \frac{{\text{1}}}{4}l_2^2\sin 2\alpha } \right)\gamma - } {\int_{ - {l_2}\cos\; \alpha }^{ - a} {{f_2}\left( x \right)\gamma {\text{d}}x} } \right] \cdot \dot u\cos \;\alpha $$ (17) 将式(16)和(17)相加,得锚板上方土体自重总的做功功率
$ {\dot W_\gamma } $ 为:$$ \begin{aligned}[b] {{\dot W}_\gamma } =& - \Bigg[ {\left( {h{l_1} + h{l_2} + \frac{{\text{1}}}{4}l_2^2\sin 2\alpha - \frac{{\text{1}}}{4}l_1^2\sin 2\alpha } \right) - } \\& {\int_a^{{l_1}\cos\; \alpha } {{f_1}\left( x \right)} {\text{d}}x - \int_{ - {l_2}\cos\; \alpha }^{ - a} {{f_2}\left( x \right){\text{d}}x} } \Bigg] \cdot \gamma \dot u\cos \;\alpha \end{aligned} $$ (18) 地表超载
$ q $ 的做功功率$ {\dot W_{\text{q}}} $ 为:$$ {\dot W_{\text{q}}} = - q\left( {{l_1} + {l_2}} \right)\dot u\cos \;\alpha $$ (19) 锚板极限抗拔力
$ {P_{\text{u}}} $ 的做功功率$ {\dot W_{{{\text{P}}_{\text{u}}}}} $ 为:$$ {\dot W_{{{\text{P}}_{\text{u}}}}} = {P_{\text{u}}} \cdot \dot u $$ (20) 此时,根据虚功率原理,可令总内部能量耗散率与总外力功率相等:
$$ {\dot W_i} = {\dot W_{\text{γ }}} + {\dot W_{\text{q}}} + {\dot W_{{{\text{P}}_{\text{u}}}}} $$ (21) 将式(15)、(18)、(19)、(20)代入式(21)中,化简整理后,求得锚板极限抗拔力
$ {P_{\text{u}}} $ 表达式为:$$ \begin{aligned}[b] {P_{\text{u}}} =& \int_a^{{l_1}\cos \;\alpha } {\left[ {{\sigma _{\rm{t}}} + {{\left( {m{\sigma _{\text{t}}}} \right)}^{1/\left( {1 - m} \right)}}c_0^{m/\left( {m - 1} \right)}\left( {1 - {m^{ - 1}}} \right)} \right.} \cdot \\& \left. {{{f}_1'}{{\left( x \right)}^{m/\left( {m - 1} \right)}} - {f_1}\left( x \right)\gamma \cos \;\alpha } \right]{\text{d}}x + \\& \int_{ - {l_2}\cos \;\alpha }^{ - a} {\left\{ {{\sigma _{\text{t}}} + {{\left( {m{\sigma _{\text{t}}}} \right)}^{1/\left( {1 - m} \right)}}c_0^{m/\left( {m - 1} \right)}\left( {1 - {m^{ - 1}}} \right)} \right.}\cdot \\& \left. {{{\left[ { - {{f}_2'}\left( x \right)} \right]}^{m/\left( {m - 1} \right)}} - {f_2}\left( x \right)\gamma \cos \;\alpha } \right\}{\text{d}}x + \\& \left[ {\left( {h{l_1} - \frac{1}{4}l_1^2\sin 2\alpha } \right) + \left( {h{l_2} + \frac{1}{4}l_2^2\sin 2\alpha } \right)} \right] \cdot \\& \gamma \cos \;\alpha + q\left( {{l_1} + {l_2}} \right) \cdot \cos \;\alpha =\\ & \int_a^{{l_1}\cos \;\alpha } {{\varLambda _1}\left[ {{f_1}\left( x \right),{f_1}^\prime \left( x \right),x} \right]} {\text{d}}x + \\ & \int_{ - {l_2}\cos \;\alpha }^{ - a} {{\varLambda _2}\left[ {{f_2}\left( x \right),{f_2}^\prime \left( x \right),x} \right]} {\text{d}}x + \\& \left[ {\left( {h{l_1} - \frac{1}{4}l_1^2\sin 2\alpha } \right) + \left( {h{l_2} + \frac{1}{4}l_2^2\sin 2\alpha } \right)} \right] \cdot \\& \gamma \cos \;\alpha + q\left( {{l_1} + {l_2}} \right) \cdot \cos \;\alpha \end{aligned} $$ (22) 其中,
$$ \begin{aligned}[b] {\varLambda _1}\left[ {{f_1}\left( x \right),{f_1}^\prime \left( x \right),x} \right] =& \left[ {{\sigma _{\text{t}}} + {{\left( {m{\sigma _{\text{t}}}} \right)}^{1/\left( {1 - m} \right)}}c_0^{m/\left( {m - 1} \right)}\left( {1 - {m^{ - 1}}} \right)} \right.\cdot \\& \left. {{{f}_1'}{{\left( x \right)}^{m/\left( {m - 1} \right)}} - {f_1}\left( x \right)\gamma \cos \;\alpha } \right] \end{aligned} $$ (23) $$ \begin{aligned}[b] {\varLambda _2}\left[ {{f_2}\left( x \right),{f_2}^\prime \left( x \right),x} \right] =& \left\{ {{\sigma _{\text{t}}} + {{\left( {m{\sigma _{\text{t}}}} \right)}^{1/\left( {1 - m} \right)}}c_0^{m/\left( {m - 1} \right)}\left( {1 - {m^{ - 1}}} \right)} \right.\cdot \\& \left. {{{\left[ { - {{f}_2'}\left( x \right)} \right]}^{m/\left( {m - 1} \right)}} - {f_2}\left( x \right)\gamma \cos \;\alpha } \right\} \end{aligned} $$ (24) 式(22)中,锚板极限抗拔力
$ {P_{\text{u}}} $ 为关于$ {f_1}\left( x \right) $ 和$ {f_2}\left( x \right) $ 的积分型泛函。根据极限分析上限定理,为获得最优上限解,求得$ {P_{\text{u}}} $ 的最小值,采用欧拉–拉格朗日变分极值条件进行求解。$$ \left\{ \begin{gathered} \frac{{\partial {\varLambda _1}}}{{\partial {f_1}\left( x \right)}} - \frac{\partial }{{\partial x}}\left[ {\frac{{\partial {\varLambda _1}}}{{\partial {{f}_1'}\left( x \right)}}} \right] = 0, \\ \frac{{\partial {\varLambda _2}}}{{\partial {f_2}\left( x \right)}} - \frac{\partial }{{\partial x}}\left[ {\frac{{\partial {\varLambda _2}}}{{\partial {{f}_2'}\left( x \right)}}} \right] = 0 \\ \end{gathered} \right. $$ (25) 将式(23)代入式(25)中,化简整理后可得:
$$ \begin{aligned}[b]& \gamma \cos \;\alpha + {\left( {m - 1} \right)^{ - 1}}{\left( {m{\sigma _{\text{t}}}} \right)^{1/\left( {1 - m} \right)}}\cdot \\&\qquad c_0^{m/\left( {m - 1} \right)}{{f}_1'}{\left( x \right)^{\left( {2 - m} \right)/\left( {m - 1} \right)}}{{f}_1''}\left( x \right) = 0 \end{aligned} $$ (26) 将式(26)两边分别对
$ x $ 进行第1次积分,求得$ {f'_1}\left( x \right) $ :$$ {f'_1}\left( x \right) = m{\sigma _{\text{t}}}c_0^{ - m}{\left( {A - \gamma x\cos \;\alpha } \right)^{m - 1}} $$ (27) 将式(27)两边分别对
$ x $ 再次进行积分,求得$ {f_1}\left( x \right) $ :$$ {f_1}\left( x \right) = - {\sigma _{\text{t}}}c_0^{ - m}{\left( {\gamma \cos \;\alpha } \right)^{ - 1}}{\left( {A - \gamma x\cos \;\alpha } \right)^m} + B $$ (28) 式中,
$ A $ 、$ B $ 为待定常数。同理,将式(24)代入式(25)中,化简整理后可得:
$$ \begin{aligned}[b]& - \gamma \cos \;\alpha + {\left( {m - 1} \right)^{ - 1}}{\left( {m{\sigma _{\text{t}}}} \right)^{1/\left( {1 - m} \right)}}c_0^{m/\left( {m - 1} \right)}\cdot \\&\qquad {\left[ { - {{f}_2'}\left( x \right)} \right]^{\left( {2 - m} \right)/\left( {m - 1} \right)}}\left[ { - {{f}_2''}\left( x \right)} \right]{\text{ = }}0 \end{aligned} $$ (29) 将式(29)两边分别对x进行积分,求得
$ {f'_2}\left( x \right) $ 、$ {f_2}\left( x \right) $ 分别为:$$ {f'_2}\left( x \right) = - m{\sigma _{\text{t}}}c_0^{ - m}{\left( {C + \gamma x\cos \;\alpha } \right)^{\left( {m - 1} \right)}} $$ (30) $$ {f_2}\left( x \right) = - {\sigma _{\text{t}}}c_0^{ - m}{\left( {\gamma \cos \;\alpha } \right)^{ - 1}}{\left( {C + \gamma x\cos \;\alpha } \right)^m} + D $$ (31) 式中,
$ C $ 、$ D $ 为待定常数。根据图1中几何关系,右侧土体破裂面
$ {f_1}\left( x \right) $ 满足如下边界条件:$$ {f_1}^\prime \left( {x = {l_1}\cos \alpha } \right) = \tan\; {\beta _1} $$ (32) $$ {f_1}\left( {x = a} \right) = 0 $$ (33) $$ {f_1}\left( {x = {l_1}\cos\; \alpha } \right) = \frac{h}{{\cos \;\alpha }} - {l_1}\sin\; \alpha $$ (34) 将式(27)代入式(32)中,化简整理后,求得积分常数A为:
$$ A = \gamma {l_1}{\cos ^2}\;\alpha + {\left( {{m^{ - 1}}{\sigma _{\text{t}}}^{ - 1}c_0^m\tan\; {\beta _1}} \right)^{1/\left( {m - 1} \right)}} $$ (35) 将式(28)代入式(33)中,求得积分常数B为:
$$ B = {\sigma _{\text{t}}}c_0^{ - m}{\left( {\gamma \cos\; \alpha } \right)^{ - 1}}{\left( { - \gamma a\cos \;\alpha + A} \right)^m} $$ (36) 同时,将式(28)代入式(34)中,得到关于l1的如下隐式方程:
$$ - {\sigma _{\text{t}}}c_0^{ - m}{\left( {\gamma \cos\; \alpha } \right)^{ - 1}}{\left( {A - \gamma {l_1}{{\cos }^2}\;\alpha } \right)^m} + B = \frac{h}{{\cos\; \alpha }} - {l_1}\sin \;\alpha $$ (37) 对于左侧土体破裂面
$ {f_2}\left( x \right) $ ,则满足如下边界条件:$${\qquad {f_2}^\prime \left( {x = - {l_2}\cos\; \alpha } \right) = - \tan\; {\beta _2}} $$ (38) $$ {f_2}\left( {x = - a} \right) = 0 $$ (39) $$ {f_2}\left( {x = - {l_2}\cos\; \alpha } \right) = \frac{h}{{\cos\; \alpha }} + {l_2}\sin\; \alpha $$ (40) 联立式(30)、(31)、(38)、(39)、(40),求得积分常数C、D分别为:
$$ C = {\left[ {\tan {\beta _2}{{\left( {m{\sigma _{\text{t}}}} \right)}^{ - 1}}c_0^m} \right]^{1/\left( {m - 1} \right)}} + \gamma {l_2}{\cos ^2}\;\alpha $$ (41) $$ D = {\sigma _{\text{t}}}c_0^{ - m}{\left( {\gamma \cos\; \alpha } \right)^{ - 1}}{\left( {C - \gamma a\cos\; \alpha } \right)^m} $$ (42) 同时,得到关于l2的如下隐式方程:
$$ - {\sigma _{\text{t}}}c_0^{ - m}{\left( {\gamma \cos\; \alpha } \right)^{ - 1}}{\left( {C - \gamma {l_2}{{\cos }^2}\;\alpha } \right)^m} + D = \frac{h}{{\cos \;\alpha }} + {l_2}\sin \;\alpha $$ (43) 此时,将式(27)、(28) 、(30)、(31)代入式(22)中,化简整理后,将锚板极限抗拔力
$ {P_{\text{u}}} $ 进一步表示为:$$ \begin{aligned}[b] {P_{\text{u}}} =& {\sigma _{\text{t}}}\left( {{l_1}\cos \;\alpha - a} \right) - B\gamma \cos \;\alpha \left( {{l_1}\cos \;\alpha - a} \right) + \\& {\sigma _{\text{t}}}\left( {{l_2}\cos \;\alpha - a} \right) - D\gamma \cos \;\alpha \left( {{l_2}\cos \;\alpha - a} \right) + \\ & \frac{m}{{m + 1}}{\sigma _{\text{t}}}c_0^{ - m}\left( { - \frac{1}{{\gamma \cos \;\alpha }}} \right)\left[ {{{\left( {A - \gamma {l_1}{{\cos }^2}\alpha } \right)}^{\left( {m + 1} \right)}}} \right. - \\& \left. {{{\left( {A - \gamma a\cos \;\alpha } \right)}^{\left( {m + 1} \right)}}} \right] + \frac{m}{{m + 1}}{\sigma _{\text{t}}}c_0^{ - m}\left( {\frac{1}{{\gamma \cos \;\alpha }}} \right) \cdot \\& \left[ {{{\left( {C - \gamma a\cos \;\alpha } \right)}^{\left( {m + 1} \right)}} - {{\left( {C - \gamma {l_2}{{\cos }^2}\alpha } \right)}^{\left( {m + 1} \right)}}} \right] + \\ & \left[ {\left( {h{l_1} - \frac{1}{4}l_1^2\sin 2\alpha } \right) + \left( {h{l_2} + \frac{1}{4}l_2^2\sin 2\alpha } \right)} \right] \cdot \\& \gamma \cos \;\alpha + q\left( {{l_1} + {l_2}} \right) \cdot \cos \;\alpha \\[-10pt] \end{aligned} $$ (44) 当图1中给定某一地面倾角
$ \;{\beta _{\text{1}}} $ 、$ {\beta _{\text{2}}} $ 时,根据式(35)~(37)、式(41)~(43)即求得积分常数$ A $ 、$ B $ 、$ C $ 、$ D $ 与地表破裂宽度$ {l_{\text{1}}} $ 、$ {l_{\text{2}}} $ ,进而利用式(44)即可确定相应的极限抗拔力$ {P_{\text{u}}} $ 。因此,式(44)中极限抗拔力$ {P_{\text{u}}} $ 仅仅为关于$ \;{\beta _{\text{1}}} $ 和$ \;{\beta _{\text{2}}} $ 参数方程,为获得极限抗拔力$ {P_{\text{u}}} $ 的最优上限解,需得到$ {P_{\text{u}}} $ 的最小值,并应满足以下关系:$$ \left\{ \begin{gathered} \frac{{\partial {P_{\rm{u}}}}}{{\partial {\beta _1}}} = 0, \\ \frac{{\partial {P_{\rm{u}}}}}{{\partial {\beta _2}}} = 0 \\ \end{gathered} \right. $$ (45) 由于对式(44)求导过程非常复杂,本文采用Lingo软件中非线性最优化计算原理,通过编写程序来求解确定倾斜条形锚板极限抗拔承载力与对应土体破裂范围。
3. 算例分析
3.1 不同力学参数对锚板极限抗拔力的影响
由式(44)可以看出,影响锚板极限抗拔力
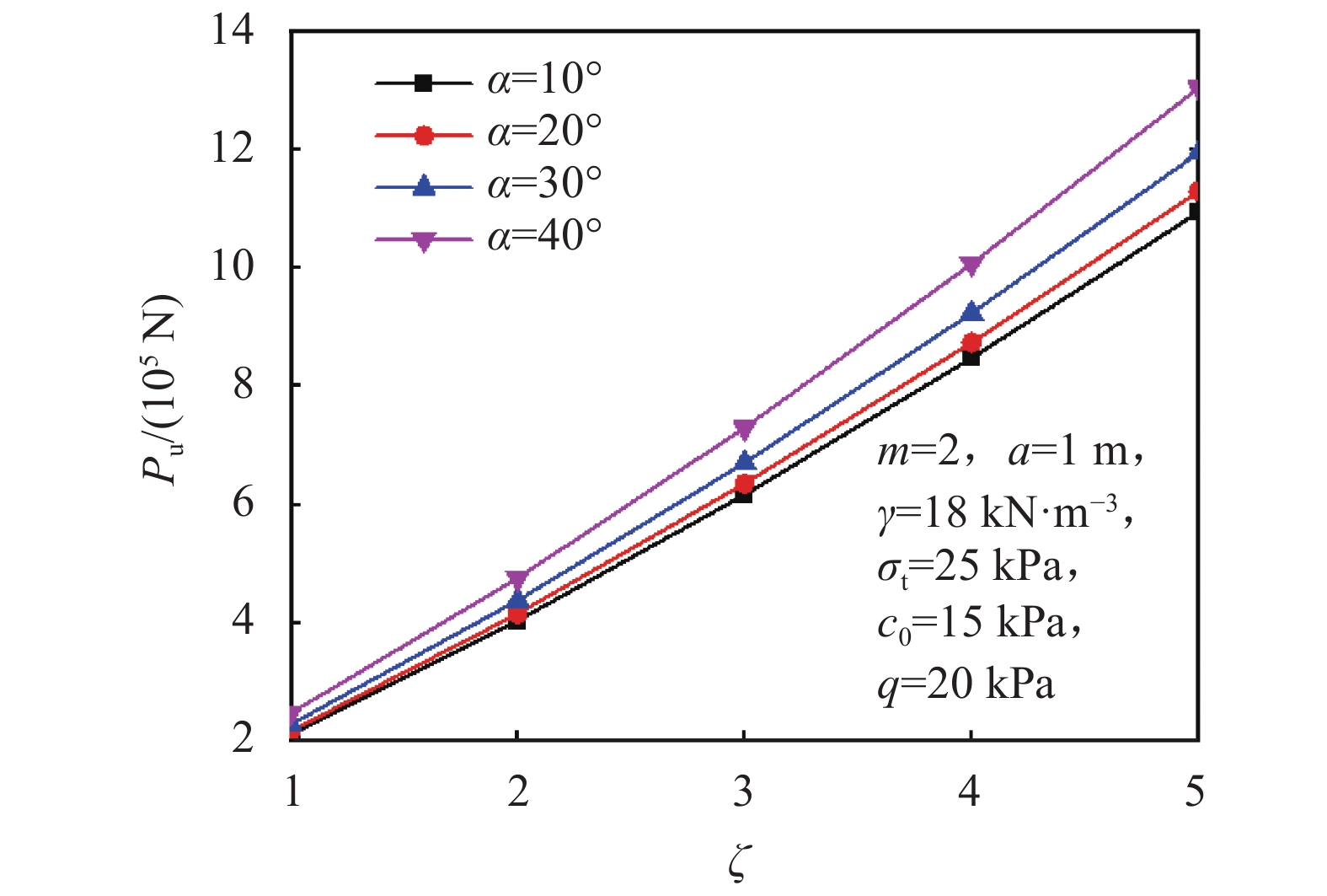
$ {P_{\text{u}}} $ 的参数众多。为更好地指导锚板基础设计及施工,分析不同力学参数对锚板极限抗拔力的影响规律;同时,为便于分析讨论,定义锚板埋深比ζ=h/2a。当锚板倾角α=10°、20°、30°、40°时,不同力学参数对极限抗拔力Pu的影响规律曲线如图3~5所示。3.1.1 不同埋深的影响
锚板极限抗拔力Pu随埋深比ζ的变化曲线如图3所示。由图3可以看出:ζ及锚板倾角α均会对锚板极限抗拔承载力产生较为显著影响;随着ζ与锚板布设倾角α的增大,Pu不断增大,而且当α增大时,Pu增幅更为明显。因此,在实际工程中,提高锚板埋深是提高其承载力的有效途径,同时,锚板基础也应结合现场地形选取较优倾角进行布设。
3.1.2 不同土体力学参数的影响
当埋深比ζ=3时,锚板极限抗拔力Pu随不同非线性系数m、初始黏聚力c0和土体重度γ的变化曲线如图4所示。从图4可以看出:m对Pu的影响较为显著,随着m增大,Pu不断减小,当系数m较小时,Pu减小幅度较显著;Pu随c0和γ的增加而增大;当上述参数取某一定值时,随锚板倾角α增大,Pu逐渐增大,这与第3.1.1节结论一致。
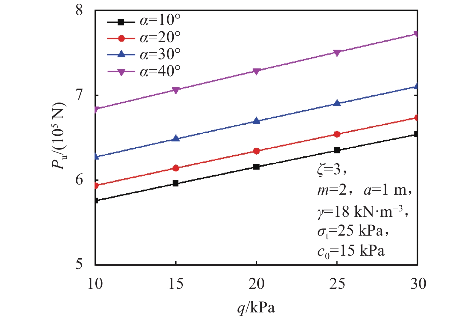
3.1.3 不同地面超载的影响
当埋深比ζ=3时,锚板极限抗拔力Pu随不同地面超载q的变化曲线如图5所示。由图5可以看出:Pu随q增加而不断增大;当q相同时,α越大,Pu也越大。因此,在实际工程中,为获得较优的承载效果,可在地表处设置一定堆载来提高锚板基础承载能力。
3.2 不同力学参数对土体破裂范围的影响
为进一步研究倾斜条形锚板上方土体在上拔过程中的破裂特征,绘制不同参数影响下的土体破裂曲线。
3.2.1 不同埋深比对土体破裂范围的影响
锚板埋深比ζ=1、2、3,倾角α=10°、20°、30°、40°时,土体破裂曲线如图6~8所示。从图6~8可以看出:当ζ为某一定值时,随α增大,锚板受到的荷载作用方向不断倾斜,相应的土体破裂范围随之倾斜并呈不断增大趋势;同时,在α相同的条件下,ζ越大,相应的土体破裂范围也越大。
3.2.2 不同土体力学参数对土体破裂范围的影响
当锚板埋深比ζ=3时,不同非线性系数m、初始黏聚力c0与土体重度γ下的土体破裂曲线如图9~11所示。由图9~11可知:随着m与γ增大,土体破裂范围呈现不断减小的趋势;当m较大时,土体破裂曲线曲率相对较大;当m较小时,土体破裂曲线曲率则较小;但随c0的增大,土体破裂范围则呈不断增大的趋势。
3.2.3 不同地面超载对土体破裂范围的影响
当锚板埋深比ζ=3时,不同地面超载q下的土体破裂曲线如图12所示。由图12可以看出,地面超载q对土体破裂范围影响较不显著,随地面超载q增大,土体破裂范围呈不断减小趋势。
4. 与已有研究工作对比验证
为验证本文提出方法的有效性,令锚板倾角α=0°,并假设地层均质,则图1破坏机制即可转化为文献[1-3]中对应的破坏机制,图13和14为不同计算方法下锚板极限抗拔力与土体破裂范围随非线性系数m的变化曲线。从图13~14可以看出,相同参数条件下,不同计算方法对应的锚板极限抗拔力与土体破裂范围变化规律一致,均呈现随非线性系数增大而减小的趋势。而且,本文计算求得的极限抗拔力与土体破裂范围值与文献[1]和[2]的结果非常接近,最大相差仅为0.5%;但与文献[3]相比,本文求得的极限抗拔力偏小(最大相差26.53 kN),土体破裂范围值偏小(最大相差0.42 m),这均验证了本文方法的有效性。
5. 结 论
1)本文针对倾斜布设的浅埋条形锚板,提出了非对称曲线型破坏机制,并基于非线性Mohr–Coulomb准则与极限分析上限定理,推导得到了锚板极限抗拔力和土体破裂面曲线的理论解析表达式,可为倾斜工况条形锚板基础设计提供一定理论参考。
2)锚板极限抗拔力随布设倾角、埋深比、土体初始黏聚力、重度与地面超载增加而增大,随非线性系数增加而减小;土体破裂范围随非线性系数和土体重度增加而减小,随初始黏聚力和地面超载增加而增大。其中,锚板布设倾角、埋深比、非线性系数与土体黏聚力对锚板极限抗拔力的影响较为显著,在工程设计及施工中应予以重视。
3)与已有研究工作对比验证表明,本文方法计算求得的锚板极限抗拔力与土体破裂范围与已有研究成果具有较好的吻合特性,这也说明了本文基于非线性Mohr–Coulomb准则提出的倾斜条形锚板极限抗拔力和土体破裂范围预测方法是合理有效的。
-
-
[1] 王洪涛,李术才,王琦,等.非线性破坏准则下水平浅埋条形锚板抗拔承载力的极限分析[J].工程力学,2014,31(2):131–138. doi: 10.6052/j.issn.1000-4750.2012.09.0699 Wang Hongtao,Li Shucai,Wang Qi,et al.Limit analysis of ultimate pullout capacity of shallow horizontal strip anchor plate based on nonlinear failure criterion[J].Engineering Mechanics,2014,31(2):131–138 doi: 10.6052/j.issn.1000-4750.2012.09.0699 [2] Zhao Lianheng,Tan Yigao,Nie Zhihong,et al.Variation analysis of ultimate pullout capacity of shallow horizontal strip anchor plate with 2-layer overlying soil based on nonlinear M-C failure criterion[J].Journal of Central South University,2018,25(11):2802–2818. doi: 10.1007/s11771-018-3954-x [3] Zhao L H,Li L,Yang F,et al.Joined influences of nonlinearity and dilation on the ultimate pullout capacity of horizontal shallow plate anchors by energy dissipation method[J].International Journal of Geomechanics,2011,11(3):195–201. doi: 10.1061/(asce)gm.1943-5622.0000075 [4] Hu Shihong,Zhao Lianheng,Tan Yigao,et al.Variation analysis of uplift bearing characteristics of strip anchor plate in nonhomogeneous materials[J].International Journal of Geomechanics,2021,21(4):04021037–1–04021037–15. doi: 10.1061/(asce)gm.1943-5622.0001974 [5] 余生兵,黄茂松.基于上限法的条形锚板抗拔承载力分析[J].岩土力学,2010,31(增刊2):160–163. doi: 10.16285/j.rsm.2010.s2.064 Yu Shengbing,Huang Maosong.Analysis of pull-out capacity of plate anchor using upper bound limit method[J].Rock and Soil Mechanics,2010,31(Supp2):160–163 doi: 10.16285/j.rsm.2010.s2.064 [6] 余生兵,黄茂松.基于组合块体集的浅埋条形锚板上限分析[J].岩石力学与工程学报,2011,30(5):1049–1056. Yu Shengbing,Huang Maosong.Upper bound analysis of horizontally embedded anchors based on block set mechanism[J].Chinese Journal of Rock Mechanics and Engineering,2011,30(5):1049–1056 [7] 黄茂松,余生兵.基于旋转块体集的深埋条形锚板上限分析[J].岩土工程学报,2011,33(5):685–692. Huang Maosong,Yu Shengbing.Upper bound analysis of deep strip anchor based on rotational block set[J].Chinese Journal of Geotechnical Engineering,2011,33(5):685–692 [8] 张晓曦,苏谦.倾斜荷载下条形锚板破裂面与极限抗拔承载力[J].地下空间与工程学报,2014,10(1):122–127. Zhang Xiaoxi,Su Qian.Ultimate uplift capacity of strip anchor plates and position of failure surfaces under inclined loads[J].Chinese Journal of Underground Space and Engineering,2014,10(1):122–127 [9] Islam M S,Sarkar G,Tajnin M R,et al.Limit load of strip anchors in uniform cohesive-frictional soil[J].Ocean Engineering,2019,190:106428. doi: 10.1016/j.oceaneng.2019.106428 [10] 于龙,刘君,孔宪京.锚板在正常固结黏土中的承载力[J].岩土力学,2007,28(7):1427–1434. doi: 10.16285/j.rsm.2007.07.027 Yu Long,Liu Jun,Kong Xianjing.Stability of plate anchors in NC clay[J].Rock and Soil Mechanics,2007,28(7):1427–1434 doi: 10.16285/j.rsm.2007.07.027 [11] 刘君,于龙,吴利玲,等.饱和黏土中倾斜圆形锚板承载力分析[J].大连理工大学学报,2008,48(2):229–234. doi: 10.7511/dllgxb200802014 Liu Jun,Yu Long,Wu Liling,et al.Pull-out capacity of inclined circular plate anchors in saturated clay[J].Journal of Dalian University of Technology,2008,48(2):229–234 doi: 10.7511/dllgxb200802014 [12] Wang Dong,Hu Yuxia,Randolph M F.Three-dimensional large deformation finite-element analysis of plate anchors in uniform clay[J].Journal of Geotechnical and Geoenvironmental Engineering,2010,136(2):355–365. doi: 10.1061/(asce)gt.1943-5606.0000210 [13] Chen Zongrui,Tho K K,Leung C F,et al.Influence of overburden pressure and soil rigidity on uplift behavior of square plate anchor in uniform clay[J].Computers and Geotechnics,2013,52:71–81. doi: 10.1016/j.compgeo.2013.04.002 [14] Bhattacharya P.Pullout capacity of strip plate anchor in cohesive sloping ground under undrained condition[J].Computers and Geotechnics,2016,78:134–143. doi: 10.1016/j.compgeo.2016.05.006 [15] Bhattacharya P,Sahoo S.Uplift capacity of horizontal anchor plate embeddednear to the cohesionless slope by limit analysis[J].Geomechanics and Engineering,2017,4(13):701–714. doi: 10.12989/gae.2017.13.4.701 [16] Evans T M,Zhang Nan.Three-dimensional simulations of plate anchor pullout in granular materials[J].International Journal of Geomechanics,2019,19(4):04019004. doi: 10.1061/(asce)gm.1943-5622.0001367 [17] 朱泳,朱鸿鹄,李飞,等.砂土中水平锚板抗拔特性试验研究[J].中南大学学报(自然科学版),2018,49(7):1768–1774. Zhu Yong,Zhu Honghu,Li Fei,et al.Experimental study on uplift behavior of anchor plate in sand[J].Journal of Central South University (Science and Technology),2018,49(7):1768–1774 [18] 陈榕,符胜男,郝冬雪,等.密砂中圆形锚上拔承载力尺寸效应分析[J].岩土工程学报,2019,41(1):78–85. doi: 10.11779/CJGE201901008 Chen Rong,Fu Shengnan,Hao Dongxue,et al.Scale effects of uplift capacity of circular anchors in dense sand[J].Chinese Journal of Geotechnical Engineering,2019,41(1):78–85 doi: 10.11779/CJGE201901008 [19] 郝冬雪,符胜男,陈榕,等.砂土中锚板拉拔模型试验及其抗拔力计算[J].岩土工程学报,2015,37(11):2101–2106. doi: 10.11779/CJGE201511023 Hao Dongxue,Fu Shengnan,Chen Rong,et al.Experimental investigation of uplift behavior of anchors and estimation of uplift capacity in sands[J].Chinese Journal of Geotechnical Engineering,2015,37(11):2101–2106 doi: 10.11779/CJGE201511023 [20] Zhang Ning,Wu Huaina,Shen J S L,et al.Evaluation of the uplift behavior of plate anchor in structured marine clay[J].Marine Georesources & Geotechnology,2017,35(6):758–768. doi: 10.1080/1064119X.2016.1240273 [21] Choudhary A K,Pandit B,Sivakumar Babu G L.Experimental and numerical study on square anchor plate groups in geogrid reinforced sand[J].Geosynthetics International,2019,26(6):657–671. doi: 10.1680/jgein.19.00051 [22] Kanitz M,Hager A,Grabe J,et al.Numerical and experimental analysis of the extraction mechanism of an anchor plate embedded in saturated sand[J].Computers and Geotechnics,2019,111:191–201. doi: 10.1016/j.compgeo.2019.03.014 [23] Rahimi M,Moghaddas Tafreshi S N,Leshchinsky B,et al.Experimental and numerical investigation of the uplift capacity of plate anchors in geocell-reinforced sand[J].Geotextiles and Geomembranes,2018,46(6):801–816. doi: 10.1016/j.geotexmem.2018.07.010 [24] 胡卫东,曹文贵,袁青松.基于非线性破坏准则的临坡地基承载力上限分析[J].岩土力学,2017,38(6):1639–1646. doi: 10.16285/j.rsm.2017.06.012 Hu Weidong,Cao Wengui,Yuan Qingsong.Upper bound solution for ultimate bearing capacity of ground adjacent to slope based on nonlinear failure criterion[J].Rock and Soil Mechanics,2017,38(6):1639–1646 doi: 10.16285/j.rsm.2017.06.012 [25] 于丽,吕城,王明年.基于非线性M–C准则的深埋土质隧道三维塌落破坏上限分析[J].岩土工程学报,2019,41(6):1023–1030. doi: 10.11779/CJGE201906005 Yu Li,Lü Cheng,Wang Mingnian.Three-dimensional upper bound limit analysis of deep soil tunnels based on nonlinear Mohr-Coulomb criterion[J].Chinese Journal of Geotechnical Engineering,2019,41(6):1023–1030 doi: 10.11779/CJGE201906005 [26] 王洪涛,王琦,尤春安,等.考虑土体非均质和各向异性的锚索极限抗拔力研究[J].岩土力学,2013,34(8):2204–2210. doi: 10.16285/j.rsm.2013.08.046 Wang Hongtao,Wang Qi,You Chunan,et al.Study of ultimate pullout force of anchor cable considering non-homogeneity and anisotropy of soil mass[J].Rock and Soil Mechanics,2013,34(8):2204–2210 doi: 10.16285/j.rsm.2013.08.046 [27] Yu S B,Hambleton J P,Sloan S W.Undrained uplift capacity of deeply embedded strip anchors in non-uniform soil[J].Computers and Geotechnics,2015,70:41–49. doi: 10.1016/j.compgeo.2015.07.014 [28] 秦会来,陈祖煜,刘立鹏.基于上限理论的软土基坑抗隆起稳定分析方法[J].岩土工程学报,2012,34(9):1611–1619. Qin Huilai,Chen Zuyu,Liu Lipeng.Basal stability analysis for excavations in soft clay based on upper bound method[J].Chinese Journal of Geotechnical Engineering,2012,34(9):1611–1619
下载:

















































