Numerical Optimization Analyses of Dangerous Rock Mass Sliding Failure Under Freeze-thaw Cycles
-
摘要: 冻融循环作用是寒区危岩体崩塌失稳的主要诱因,对寒区危岩体滑移破坏的孕灾因素进行数值优化分析尤为重要。首先,基于极限平衡理论,考虑危岩体贯通段结构面冻胀力、未贯通段岩石黏聚力劣化及冻结深度演化,建立冻融循环作用下滑移式危岩体稳定性分析模型;其次,基于岩石冻胀理论,考虑冻结过程中水分迁移推导得到贯通段冻胀力计算方法;再次,将岩石细观孔隙抽象为无数圆形孔洞,根据圆孔扩张理论和莫尔–库伦屈服准则分析孔隙冻胀破坏过程,构建冻融循环作用下未贯通段岩石黏聚力细观劣化模型;最后,通过改进Stephan经验公式得到未贯通段岩石冻结深度随冻融循环次数演化的计算方法。结合工程算例分析各敏感参数对危岩体稳定性的影响发现:滑移式危岩体稳定性随冻融循环次数的增加呈先快后缓的下降趋势;危岩体稳定性系数与冻结温度呈正相关,相同冻结温度下,危岩体稳定性系数的下降随冻融循环次数增加出现明显的边际递减效应;危岩体稳定性系数与岩屑流失比呈负相关,且岩屑流失比会同时改变稳定性劣化趋势和劣化程度,控制岩屑流失比有利于寒区危岩体的长期稳定性。Abstract: The action of freeze-thaw (F–T) cycles is the main inducement for the collapse and instability of dangerous rock mass in cold regions, and it is particularly important to carry out numerical optimization analysis on the disaster pregnant factors of sliding failure of dangerous rock mass in cold regions. Firstly, based on the limit equilibrium theory, the stability analysis model of sliding dangerous rock mass under the action of F–T cycles was established by considering the frost heave force of through section structural plane, the deterioration of the cohesive force of the locked section, and the evolution of the freezing depth. Secondly, based on the theory of rock frost heave and considering the water migration during the freezing process, the calculation method of the frost heave force of the through structural plane section was derived. Thirdly, the mesoscopic defects of rock were simplified to numerous circular pores. According to the expansion theory of circular pores and the Mohr–Coulomb yield criterion, the process of pore frost heave failure was analyzed, and the meso degradation model of rock cohesion in the non-penetrated section under the action of the freeze-thaw cycle was constructed. Finally, the calculation method of the evolution of the rock freezing depth of the locked section with the number of F–T cycles was obtained by improving Stephan’s empirical formula. Combined with the engineering calculation example to analyze the influence of each sensitive parameter on the stability of the dangerous rock body, it was found that the stability of sliding dangerous rock mass showed a fast and then slowly declined with the increase of the number of F–T cycles. The stability coefficient of sliding dangerous rock mass was positively correlated with the freezing temperature. At the same freezing temperature, the stability coefficient decreased with the increase of the number of F–T cycles with a significant marginal decreasing effect. The stability of dangerous rock mass was negatively correlated with the rock debris loss ratio, and the rock debris loss ratio changed both the trend of stability deterioration and the degree of deterioration. Controlling the rock debris loss ratio was conducive to the long-term stability of the dangerous rock mass in cold regions.
-
中国冻土区域面积约为国土面积的3/4,是世界上寒区分布最广的国家之一。冻融循环引起的危岩体滑移破坏是寒区主要地质灾害之一,如:西藏甲玛矿山边坡由于冻融损伤致使岩体劣化失稳,引起200多万立方米的边坡岩体塌方[1];新疆西北部山区遭受强烈的冻融循环作用,山体岩石破碎严重,进而出现落石、滑移等不良地质现象[2]。
评价危岩体稳定性的核心问题是建立能够反映危岩体当前力学状态及后续发展规律的理论模型。Chen等[3-4]根据危岩体失稳破坏模式,将其分为滑移式、倾倒式和坠落式3类,并通过极限平衡理论分析了不同工况下危岩体稳定性变化规律。根据极限平衡理论可知,危岩体破坏的实质是结构面及岩石抵抗力与破坏力的博弈[5-6]。因此,揭示结构面及岩块在冻融循环作用下力学性能的劣化机理对寒区危岩体稳定性合理评价至关重要。Heinze等[7]认为冻融循环作用导致岩石平衡态被破坏时,会出现传热现象,将传热系数表征为计算参数是解决危岩体冻融问题的关键。Chen等[8]发现滑移式危岩体稳定性劣化主要源于岩块部分黏聚力的劣化,黏聚力随冻融循环次数的增加呈指数形式降低。Chen等[9]在冻融循环试验中发现危岩体岩块损伤主要由表面缺陷组成,在冻融作用下缺陷长期发展,导致载荷能力逐渐降低进而引起危岩体崩塌破坏。Qiao等[10]通过力学分析和冻融循环试验研究了危岩体锁固段岩石的破坏机理,认为危岩体稳定性与结构面两侧的岩石刚度比相关,并建立了危岩体尖点突变预测模型。Yang等[11]选取鸭绿江公路边坡危岩进行冻融循环试验和数值分析研究,发现冻融循环对岩石力学性能的折减是危岩体长期稳定性劣化的主要因素。
目前,对冻融循环作用下危岩体的稳定性分析主要集中在对危岩体进行现场监测[12-13],或对局部岩块试样进行室内冻融试验[14-16],在理论机制上对寒区危岩体稳定性的分析值得进一步探索。因此,本文在前人基础上,将圆孔扩张理论与莫尔–库伦屈服准则相结合,考虑结构面冻胀力、未贯通段岩石黏聚力劣化、冻结深度演化等参数影响,建立冻融循环作用下的滑移式危岩稳定性系数计算方法,并对相关敏感参数进行优化分析,研究成果可为寒区危岩体工程安全与防治提供理论参考。
1. 冻融循环下滑移式危岩体稳定性力学模型
寒区危岩体中普遍存在岩体冻融现象,岩体内部的水分在气温交替变化下不断冻结及融化。实际上,裸露在危岩体表面并与外界接触的岩石均存在冻结区,但滑移式危岩体的稳定性主要由其主控面控制,故本文仅考虑主控面处岩体冻结深度的影响。因此,冻融循环对危岩体的破坏主要作用在其主控面上,具体表现为在贯通段产生冻胀力、在未贯通段弱化岩体力学性能及加剧岩石冻结深度,如图1所示。基于极限平衡法对危岩体稳定性进行分析,冻融循环作用致使危岩体主控面上抗滑力降低,最终出现滑移破坏。因此,分析主控面上抗滑力是判断滑移式危岩体是否出现破坏的关键因素。
图1中,Q和W为危岩体所受水平力和重力,P为贯通段所受冻胀力,AB段为危岩体主控面,OA段为贯通段,OB段为未贯通段,β为危岩体倾角,FN和FT分别为主控面法向力和切向力,
$ l_n^{\text{d}} $ 、$ l_n^{\text{w}} $ 分别为冻结区和未冻区岩石长度,H、h、hd、hw分别为危岩体高度、贯通段高度、冻结区深度和未冻区深度。当危岩体遭受冻融循环作用后,冻结区深度和未冻区深度会随循环次数发生改变,即表征为$ h_n^{\text{d}} $ 、$ h_n^{\text{w}} $ 。根据图1中危岩体计算模型将主控面上荷载分解,可得由自重应力、水平地震力、均布冻胀力引起的法向力FN和由自重应力、水平地震力引起的切向力FT:
$$ {F_{\rm{N}}} = W\cos \;\beta - Q\sin \;\beta - Ph{\sin ^{ - 1}}\beta $$ (1) $$ {F_{\rm{T}}} = W\sin\; \beta + Q\cos \;\beta $$ (2) 根据极限平衡原理可知,基于主控面上剪切破坏强度对滑移式危岩体的稳定性进行分析,即将危岩体主控面上抗剪强度表征的抗滑力与下滑切向力之比来判断危岩体是否发生滑移破坏[17-19]。根据摩尔–库伦屈服准则可得危岩体主控面上抗滑力为:
$$ \tau = \left( {W\cos \;\beta - Q\sin \;\beta - Ph\;{{\sin }^{ - 1}}\beta } \right)\tan\; \varphi + l_n^{\text{d}}{c_n} + l_n^{\text{w}}{c_0} $$ (3) 式中:τ为岩石抗剪强度;
$ \varphi $ 为岩石内摩擦角;c0为未贯通段未冻区岩石黏聚力,可由岩石三轴试验获得;cn为未贯通段冻结区岩石黏聚力,与冻融循环次数有关,cn = fn(c0),其中,n为冻融循环次数;$l_n^{\text{d}}、 l_n^{\text{w}} $ 分别为冻结区岩石和未冻区岩石长度,与冻结深度$h_n^{\text{d}} $ 之间存在几何关系,为:$$ \left\{ \begin{array}{l} l_n^{\text{d}}{\text{ = }}\dfrac{{h_n^{\text{d}}}}{{\sin\; \beta }}{\kern 1pt} {\kern 1pt} {\kern 1pt} , \\ l_n^{\text{w}}{\text{ = }}\dfrac{{H - h - h_n^{\text{d}}}}{{\sin \;\beta }} \\ \end{array} \right. $$ (4) 根据主控结构面上单位长度荷载,得历经n次冻融循环后滑移式危岩体稳定性系数Fn为:
$$ {F_n}{\text{ = }}\frac{{\left( {W\cos \;\beta - Q\sin\; \beta - Ph\;{{\sin }^{ - 1}}\beta } \right)\tan \varphi + l_n^{\text{d}}{c_n} + l_n^{\text{w}}{c_0}}}{{W\sin\; \beta + Q\cos\; \beta }} $$ (5) 由式(5)可知,冻融循环作用下危岩体主控面上均布冻胀力P、岩石黏聚力cn、冻结深度hd等参数均会改变主控面抗滑力,进而影响其稳定性。
2. 冻融循环对危岩体稳定性的劣化作用
2.1 贯通段结构面宏观均布冻胀力分析
危岩体贯通段结构面多处于与外界连通的状态,而体积膨胀理论适合于较为密闭的空间[20],因此更适合采用分离压力计算结构面间冻胀力。冻结岩体的冰–岩接触面含有一层未冻水膜,未冻水膜的存在为孔隙水提供迁移通道[21-22],膜两端的压力差则为水迁移的驱动力,即为结构面间冻胀力P,如图2所示。
假定水分迁移路径方向为竖直方向,且迁移过程中产生的力各向相等,水分向未冻区迁移的过程中生长的晶体会产生冰晶力。根据应力平衡可知,冻胀力可等效于冰晶体间作用力,即:
$$ P - {P_{\text{i}}}{\text{ = }}0 $$ (6) 式中,Pi为冰晶体作用力。
Rempel[23]在研究含孔隙结构的固体介质冻融机理时,分析了冰体的生长形态,发现在冰体生长时会产生分子间作用力,并驱动水分迁移和冻结,进而通过应力约束得到与裂隙冻结率有关的冰晶作用力解析解:
$$ {P_{\text{i}}} = \frac{{{\rho _{\text{i}}}L}}{{{t_0}}}\int_t^{{t_{\text{a}}}} {\phi {S_{\text{i}}}{\text{d}}t} $$ (7) 式中:ρi为冰的密度;L为水冰相变潜热;t0为水冻结临界温度;ta为冰体在裂纹中延伸后的温度;t为正冻区温度;
$ \phi $ 为水冰混合物体积与裂纹体积之比;Si为裂纹内冰饱和度,Remple基于试验数据得到Si与冻结温度之间的关联式:$$ {S_{\text{i}}} = 1 - {\left( {\frac{{{t_0} - {t_{\text{a}}}}}{{{t_0} - t}}} \right)^\eta } $$ (8) 式中,η为与材料有关的冻结参数。
由式(8)可知,冰体冻结率的变化仅与冻结温度t有关。联立式(7)、(8)可得:
$$ P = \frac{{{\rho _{\text{i}}}L\phi }}{{{t_0}}}\left[ {{t_{\text{a}}} - t + \frac{{{t_0} - {t_{\text{a}}}}}{{\eta - 1}}\left( {{{\left( {\frac{{{t_0} - {t_{\text{a}}}}}{{{t_0} - t}}} \right)}^{\eta - 1}} - 1} \right)} \right] $$ (9) 2.2 未贯通段岩石黏聚力劣化模型
由式(5)可以看出,冻结深度与冻结区岩体黏聚力均会改变危岩体主控面抗滑力,进而影响其稳定性,且二者对危岩体稳定性系数的影响是一致的。考虑到未贯通段岩石内部孔隙通常能满足含水量和密闭性的要求,可利用水冰相变冻胀理论并认为岩石均质各向同性。同时借鉴刘泉声等[24]对低温下孔隙破坏的研究,将基于圆孔扩张理论对岩石细观劣化进行分析,并对其作出以下假定条件:
1)在冻融循环作用下,岩体抗剪强度参数中只改变黏聚力,不改变内摩擦角。这是因为内摩擦角主要是产生岩石矿物颗粒相互滑动需要克服的摩擦阻力及颗粒物之间的嵌入、连接和分离产生的咬合阻力,冻融作用对摩擦阻力和咬合阻力几乎没有影响[25-26]。
2)将单个微孔隙视为表征单元体(representative elementary volume),未冻融前单元体孔隙半径a0与外裹岩石半径as大小呈正相关。
3)细观孔隙简化为平面理想化的圆形,每个单元由圆形孔隙及包围其的岩石组成并均匀分布在岩体中。圆形孔隙初始等效内径为a0,包裹其岩石等效内径为as,如图3所示。
由图3可见,岩石内部存在着尺寸各异的细观孔隙并分布在不同位置。根据对细观孔隙的假定,认为每个单元的孔隙面积与自身单元面积之比相等。利用等效岩体方法,将其视为等效半径的孔隙,即满足:
$$ \frac{{{{\left( {a_0^1} \right)}^2}}}{{{{\left( {a_{\text{s}}^1} \right)}^2}}}{\text{ = }}\frac{{{{\left( {a_0^2} \right)}^2}}}{{{{\left( {a_{\text{s}}^2} \right)}^2}}}{\text{ = }} \cdots {\text{ = }}\frac{{{{( {a_0^j} )}^2}}}{{{{( {a_{\text{s}}^j} )}^2}}} = \frac{{{{\left( {{a_0}} \right)}^2}}}{{{{\left( {{a_{\text{s}}}} \right)}^2}}} $$ (10) 式中,上标j为岩石内部第j个细观孔隙。
假定岩石为各向同性的均质体,并且在冻胀力作用下处于各向等压状态,在平面状态下细观孔隙单元包括孔隙、破碎区、塑性区及最外层弹性区。将其简化为平面应变问题,如图4所示[27]。
由图4可见,an-1和bn-1分别为冻融作用前的微孔隙半径和冻融扩径后的微孔隙半径,an和bn分别为冻融前的破碎区半径和冻融扩径后的破碎区半径,rn和Rn分别为冻融前孔隙塑性区半径及冻融扩展后的塑性区半径。假设冻融前后岩石塑性区和破碎区体积保持不变,在平面应变条件下有:
$$ {\qquad \left\{ \begin{array}{l}\text{π}{R}_{n}^{2}-\text{π}{b}_{n}^{2}=\text{π}{r}_{n}^{2}-\text{π}{a}_{n}^{2}\text{,}\\ \text{π}{b}_{n}^{2}-\text{π}{b}_{n-1}^{2}=\text{π}{a}_{n}^{2}-\text{π}{a}_{n-1}^{2}\end{array}\right. }$$ (11) 将式(11)简化为:
$${\qquad 2{\text{π}}{R_n}\left( {{R_n} - {r_n}} \right) = {\text{π}}\left( {b_{n - 1}^2 - a_{n - 1}^2} \right)} $$ (12) 考虑岩体内部孔隙连通性致使水分迁移和未冻水的存在,并结合刘泉声等[28]对低温冻结单裂隙的分析,得水分迁移下的体积膨胀系数:
$$ \delta {\text{ = }}\left( {1 + \kappa {u^t}} \right)\left( {1 - \xi } \right) $$ (13) 式中:κ为无约束状态下水相变为冰相体积膨胀系数;ut为与温度t有关的冻结率;ξ为冻结过程中水分迁移体积比,等于裂隙水流量与裂隙容积之比,文献[28]中详细阐述了ξ与岩石所处环境温度的关系,此处不再赘述。因此,在外界约束条件下,孔隙冻胀体积满足:
$${\qquad {\text{π}}b_{n - 1}^2 = {\text{π}}a_{n - 1}^2\left[ {\left( {1 + \kappa {u^t}} \right)\left( {1 - \xi } \right)} \right] }$$ (14) 破碎区和塑性区的岩石均满足摩尔–库伦屈服准则。在极坐标下,单元体的应力平衡表达式为:
$$ \left\{ \begin{array}{l}\dfrac{\text{d}{\sigma }_{r}}{\text{d}r}+\dfrac{{\sigma }_{r}-{\sigma }_{\theta }}{r}=0\text{,}\\ {\sigma }_{\theta }-\dfrac{1+\mathrm{sin}\;\varphi }{1-\mathrm{sin}\;\varphi }{\sigma }_{r}-\dfrac{2c\,\mathrm{cos}\;\varphi }{1-\mathrm{sin}\;\varphi }=0\end{array}\right. $$ (15) 式中,c和
$\varphi $ 分别为岩石黏聚力和内摩擦角,但破碎区和塑性区二者的表征不同,在塑性区c和$\varphi $ 分别为理想状态下完整岩石的黏聚力和内摩擦角,而在破碎区则分别为岩石残余黏聚力和残余内摩擦角。考虑到破碎区岩石几乎丧失了全部的受荷能力,即视破碎区岩石黏聚力为0。同时假定破碎区内岩石抗剪强度参数仅有黏聚力变化,而无内摩擦角变化[29]。对式(15)进行积分计算,并将破碎区边界条件σr = pn,r = bn-1代入式(15),可得在bn-1 ≤ r ≤ bn范围内的破碎区平面应力分布,为:
$$ \left\{\begin{array}{l}{\sigma }_{r}={p}_{n}{\left(\dfrac{r}{{b}_{n-1}}\right)}^{\frac{2\mathrm{sin}\;\varphi }{1-\mathrm{sin}\;\varphi }}\text{,}\\ {\sigma }_{\theta }=\dfrac{1+\mathrm{sin}\;\varphi }{1-\mathrm{sin}\;\varphi }{p}_{n}{\left(\dfrac{r}{{b}_{n-1}}\right)}^{\frac{2\mathrm{sin}\;\varphi }{1-\mathrm{sin}\;\varphi }}\end{array}\right. $$ (16) 由式(16)可知,当r=bn时,可得破碎区与塑性区交界处的径向应力,将边界条件σr=σbn,r=bn代入,可得在bn≤r≤Rn范围内的塑性区平面应力分布为:
$$ \left\{ \begin{array}{l}{\sigma }_{r} = \left({p}_{n}{\left(\dfrac{{b}_{n}}{{b}_{n-1}}\right)}^{\frac{2\mathrm{sin}\;\varphi }{1-\mathrm{sin}\;\varphi }}+c\mathrm{cot}\;\varphi \right){\left(\dfrac{r}{{b}_{n}}\right)}^{\frac{2\mathrm{sin}\;\varphi }{1-\mathrm{sin}\;\varphi }}-c\;\mathrm{cot}\;\varphi \text{,}\\ {\sigma }_{\theta } = \dfrac{1+\mathrm{sin}\;\varphi }{1-\mathrm{sin}\;\varphi }\left({p}_{n}{\left(\dfrac{{b}_{n}}{{b}_{n-1}}\right)}^{\frac{2\mathrm{sin}\;\varphi }{1-\mathrm{sin}\;\varphi }}+c\;\mathrm{cot}\;\varphi \right){\left(\dfrac{r}{{b}_{n}}\right)}^{\frac{2\mathrm{sin}\;\varphi }{1-\mathrm{sin}\;\varphi }}-c\;\mathrm{cot}\;\varphi \end{array}\right. $$ (17) 将扩径作用发生前的岩石弹性区域视为无限介质的圆孔扩张问题,圆孔内径为塑性区半径,外径趋于无穷,内压为弹性区与塑性区交界应力,外压为零,由变形协调可得弹性区与塑性区交界处变形为:
$$ {R_n} - {r_n} = - \frac{{{R_n}{\sigma _{{R_n}}}}}{{2{G_{\text{r}}}}} $$ (18) 式中,Gr为岩石材料剪切模量,Gr=Er/(2+2v),其中,Er为岩体弹性模量,v为岩石泊松比。
根据弹性区与塑性区交界处应力一致可得:
$$ \left( {{p_n}{{\left( {\frac{{{b_n}}}{{{b_{n - 1}}}}} \right)}^{\frac{{2\sin \;\varphi }}{{1 - \sin \;\varphi }}}} + c\cot\; \varphi } \right){\left( {\frac{{{R_n}}}{{{b_n}}}} \right)^{\frac{{2\sin \;\varphi }}{{1 - \sin\; \varphi }}}}{\text{ = }}c\cot \varphi \left( {1 - \sin \;\varphi } \right) $$ (19) 联立式(12)、(14)、(18)、(19)可得岩石孔隙塑性区与孔径大小的关系为:
$$ {R_n} = {b_{n - 1}}\sqrt {\frac{{{G_{\text{r}}}\left( {\delta - 1} \right)}}{{c\delta \cos\; \varphi }}} $$ (20) 上述分析已经表明了孔隙半径与塑性区半径的关系,破碎区存在于孔隙与塑性区之间,承担了应力传递和变形协调的作用。同时破碎区的大小与岩石状态有关,即塑性大的岩石破碎区较小,脆性大的岩石破碎区较大。因此得到破碎区的半径需要明确岩石状态。袁文伯等[30]在对软化岩石的塑性区与破碎区半径分析中,同样假定岩石在塑性区和破碎区满足体积不变条件。通过破碎区与塑性区边界的变形协调条件,可知破碎区半径与塑性区半径存在比例关系,并基于理想的软化模型得到了与岩石脆性系数相关的比例系数k,为:
$$ k = \frac{{{b_n}}}{{{R_n}}} = \sqrt {\frac{{\gamma c\left( {1 + \nu } \right)\left( {1 + \sin \;\varphi } \right)}}{{{f_{\text{c}}} + \gamma c\left( {1 + \nu } \right)\left( {1 + \sin \;\varphi } \right)}}} $$ (21) 式中:γ为岩石脆性系数;fc为岩石抗压强度,由摩尔–库伦应力可知fc满足:
$$ {f_{\text{c}}} = \frac{{2c\left( {1 + \sin\; \varphi } \right)}}{{\left( {1 - \sin\; \varphi } \right)}} $$ (22) 联立式(20)和(21)可得冻结阶段破碎区与孔隙半径的比值为:
$$ \frac{{{b_n}}}{{{b_{n - 1}}}} = \sqrt {\frac{{\gamma {G_{\text{r}}}\left( {1 + \nu } \right)\left( {\delta - 1} \right)\left( {1 - \sin\; \varphi } \right)}}{{2c\delta \cos \;\varphi + \gamma c\delta \cos\; \varphi \left( {1 + \nu } \right)\left( {1 - \sin\; \varphi } \right)}}} $$ (23) 由于冻胀扩径作用引起并与原岩脱落的岩石全部位于破碎区,且破碎区内的岩石均失去受荷能力,进而形成游离的碎屑并随水分流动而被带出孔隙。因此当次冻融作用的细观孔隙破碎区半径可作为下次冻融作用开始前的孔隙初始半径。单次冻融循环作用包括冻结和融化两个阶段,在冻结过程完成后系统进入融化阶段,该阶段冰–岩逐渐脱离接触,塑性区外部弹性区满足弹性卸荷,在融化阶段塑性区半径由Rn恢复至rn,相应的破碎区半径由bn恢复至an。因此,在融化阶段破碎区半径与孔隙半径比为:
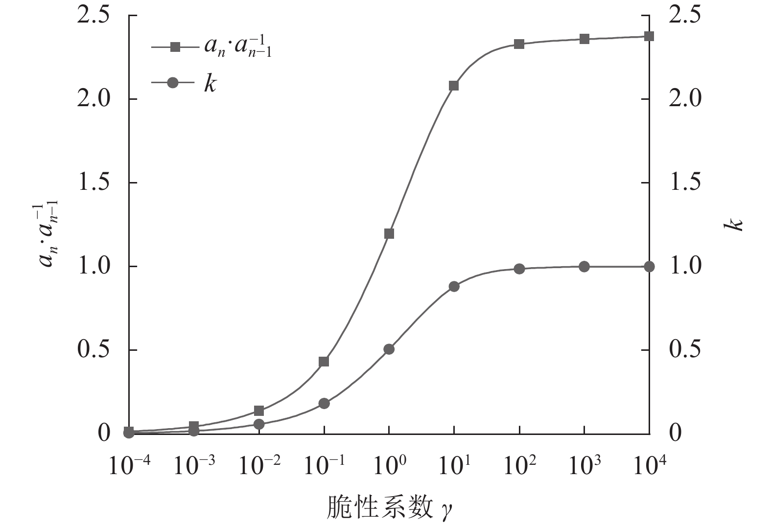
$$ \frac{{{a_n}}}{{{a_{n - 1}}}} = \sqrt {\frac{{\gamma {G_{\text{r}}}\left( {1 + \nu } \right)\left( {\delta - 1} \right)\left( {1 - \sin \;\varphi } \right)}}{{2c\cos \;\varphi + \gamma c\cos \;\varphi \left( {1 + \nu } \right)\left( {1 - \sin\; \varphi } \right)}}} $$ (24) 由式(21)和(24)可以看出破碎区半径与塑性半径比值k,破碎区半径与孔隙半径比值(an·
$a_{n-1}^{-1} $ ) 均与脆性系数γ密切相关。为探究三者间的联系,将砂岩参数代入计算,其中c=4.5 MPa,$\varphi $ =30°,Gr=550 MPa,v=0.38,δ=1.04,计算结果如图5所示。由图5可知:当γ趋于0时,k和 (an·
$a_{n-1}^{-1} $ )无限趋于0,此时岩石表现为理想弹塑性状态,孔隙外部不存在破碎区;当γ趋于∞时,k无限趋于1,(an·$a_{n-1}^{-1} $ )=(rn–1·$a_{n-1}^{-1} $ ),此时岩石表现为理想弹脆性状态,孔隙外部破碎区全部覆盖塑性区。2.3 岩屑流失比
理论上,在冻融循环过程中,岩石内部微孔隙游离的岩屑会全部伴随水分流动而流失;但实际上,孔隙中的未冻水增加体积小于孔隙增加的体积,原因是部分碎石屑仍然留在岩石孔隙内,孔隙水冻结包裹残留岩屑处不能产生冻胀力。因此,微孔隙发生单次冻融时的破碎区半径要排除碎石屑的影响,岩屑流失过程如图6所示。
假设每次冻融循环后单个孔隙破碎区实际增大的半径与理论增大的半径之比为q,则历经单次冻融循环后的孔隙半径增量Δan为:
$$ \Delta {a_{n - 1}} = q\left( {{a_n} - {a_{n - 1}}} \right) $$ (25) 由式(25)可得单次冻融后孔隙实际半径
$ a_n^* $ 为:$$ a_n^* = {a_{n - 1}} + \Delta {a_{n - 1}} $$ (26) 联立式(25)、(26)可得:
$$ a_n^ * = \sqrt {a_0^2 + \sum\limits_{i = 1}^n {\left[ {{{\left( {{a_{i - 1}} + \Delta {a_{i - 1}}} \right)}^2} - a_{i - 1}^2} \right]} } $$ (27) 联立式(14)和(27)可得考虑岩屑流失比后的孔隙体积变化满足:
$$ {\text{π}}b_n^2 = {\text{π}} a_n^2\left[ {1 + \left( {\delta - 1} \right){{\left( {\frac{{a_{n - 1}^*}}{{{a_{n - 1}}}}} \right)}^2}} \right] $$ (28) 将式(28)代入(17),考虑岩屑流失条件,历经n次冻融循环后孔隙破碎区半径为:
$$\begin{aligned}[b]& {a_n} =\\& {a_{n - 1}}\left[ 1 - q + q \times \sqrt {\frac{{\gamma {G_{\text{r}}}\left( {1 + \nu } \right)\left( {\delta - 1} \right){{\left( {a_{n - 1}^*/{a_{n - 1}}} \right)}^2}\left( {1 - \sin \;\varphi } \right)}}{{2c\cos \;\varphi + \gamma c\cos\; \varphi \left( {1 + \nu } \right)\left( {1 - \sin \;\varphi } \right)}}} \right] \end{aligned}$$ (29) 历经n次冻融循环后孔隙实际半径与初始半径之间满足:
$$\begin{aligned}[b]& {a_n} =\\& {a_0}\prod\limits_{i = 1}^n {\left[ 1 - q + q \times \sqrt {\frac{{\gamma {G_{\text{r}}}\left( {1 + \nu } \right)\left( {\delta - 1} \right){{\left( {a_{n - 1}^*/{a_{n - 1}}} \right)}^2}\left( {1 - \sin\; \varphi } \right)}}{{2c\cos\; \varphi + \gamma c\cos\; \varphi \left( {1 + \nu } \right)\left( {1 - \sin\; \varphi } \right)}}} \right]} \end{aligned} $$ (30) 在冻融循环作用下岩石内部孔隙半径和破碎区范围均会增大,孔隙半径增长意味着岩石内部孔隙率的增大,破碎区范围增大则意味着岩石受破坏和变形不可恢复的屈服区域范围增大。岩石孔隙率的增大通常受到岩石破碎区半径的控制,破碎区越大的岩石孔隙率变化更大。假定在岩石发生冻融作用的过程中,内部仅发生原有孔隙的扩径现象,而无新孔隙产生,基于等效岩体方法将宏观上的岩石孔隙率与细观微孔隙破碎区面积联系。因此在平面条件下,岩石初始孔隙率ω0和历经n次冻融循环后的孔隙率
$ \omega _n^* $ 满足:$$ \left\{ \begin{array}{l}{\omega }_{0}=\dfrac{{a}_{0}^{2}}{{a}_{\text{s}}^{2}}\text{,}\\ {\omega }_{n}^{\ast }=\dfrac{{\left({a}_{n}^{\ast }\right)}^{2}}{{a}_{\text{s}}^{2}}\end{array} \right.$$ (31) 由于残余岩屑仍然会占据孔隙空间,因此式(31)中孔隙半径取
$ a_n^* $ ,孔隙率取$ \omega _n^* $ 。由式(31)可知,不同冻融循环次数下的岩石孔隙率之比满足:$$ \frac{{\left[ {{\text{π}}{{\left( {a_n^ * } \right)}^2}} \right]/\left( {{\text{π}}a_{\text{s}}^2} \right)}}{{\left[ {{\text{π}}{{\left( {{a_0}} \right)}^2}} \right]/\left( {{\text{π}}a_{\text{s}}^2} \right)}}{\text{ = }}\frac{{\omega _n^ * }}{{{\omega _0}}} $$ (32) 将式(32)展开可得:
$$ \frac{{\left[ {{\text{π}}{{\left[ {{a_{n - 1}} + q\left( {{a_n} - {a_{n - 1}}} \right)} \right]}^2}} \right]/\left( {{\text{π}}a_{\text{s}}^2} \right)}}{{\left( {{\text{π}}a_0^2} \right)/\left( {{\text{π}}a_{\text{s}}^2} \right)}}{\text{ = }}\frac{{\omega _n^ * }}{{{\omega _0}}} $$ (33) 将式(30)代入式(33),可递进得到岩石碎屑流失比。为了能应用于寒区岩土工程,可通过室内试验对岩屑流失比进行拟合,通过有限次的试验结果获取拟合后的岩屑流失比数值。基于此,利用贾海梁等[31]对砂岩的冻融循环试验所得岩石孔隙率的变化结果,并通过式(33)对岩屑流失比进行计算,计算参数按照文献[31]及工程岩体试验规程取值。考虑到室内试验岩石的初始状态与自然界存在较大差异,取原文献[31]中最后10次冻融循环试验结果所得岩石孔隙率对岩屑流失比进行拟合,结果如图7所示。
如图7所示,当岩屑流失比为0.85时,式(33)计算所得结果与砂岩试样所得试验结果比较吻合。由于上述对岩屑流失比的定义,可将其视为与岩石脆性状态相关的材料常数。
在冻融循环作用下孔隙半径增加会引起岩石孔隙率的变化,从宏观角度考虑孔隙率变化对岩石黏聚力产生的劣化效果,则冻融循环n次后的岩石劣化值为:
$$ {D_n} = 1 - \frac{{1 - {\omega _n}}}{{1 - {\omega _0}}}{\text{ = }}1 - \frac{{1 - {\omega _0}{{\left( {{a_n}/{a_0}} \right)}^2}}}{{1 - {\omega _0}}} $$ (34) 由于残余岩屑并不会提供黏聚力,因此式(34)中孔隙半径取an,孔隙率取ωn。由式(34)可知冻融循环作用下冻结区岩石黏聚力劣化表达式为:
$$ {c_n} = {c_0}\left( {1 - {D_n}} \right) = {c_0}\frac{{1 - {\omega _0}{{\left( {{a_n}/{a_0}} \right)}^2}}}{{1 - {\omega _0}}} $$ (35) 2.4 黏聚力劣化模型对比验证
通过式(35)可得岩石黏聚力随冻融循环次数变化的关系,该式的合理性需要进一步探讨。选择文献[26]中砂岩黏聚力劣化的冻融试验结果与本文计算结果进行对比验证。岩石试样取自弱风化原岩露头,尺寸为90 mm×90 mm×90 mm。首先,将饱和岩样放入–30 ℃恒温箱冷冻4 h;然后,在室温下的蒸馏水中浸泡4 h,单次冻融周期为8 h;最后,不同循环次数的岩样进行三轴试验,以获取其黏聚力值。岩石试样参数通过文献[26]获取,部分未能提供的参数按工程岩体试验规程取值,岩屑流失比按图7所示拟合结果取值。砂岩物理力学参数见表1。将表1中参数代入式(35)计算,将计算结果与原文献[26]试验结果对比,结果如图8所示。
表 1 砂岩参数Table 1 Sandstone parametersEr/MPa c0/kPa γ ω0/% v $\varphi $/(°) q T/℃ 1000 94.5 0.04 2.71 0.3 30 0.85 –30 由图8可知,冻融循环作用下的砂岩黏聚力弱化的试验结果与本文理论计算结果拟合曲线吻合较好,二者整体劣化趋势保持一致。因此,利用式(35)计算岩石黏聚力的劣化是合理的。
3. 冻结深度演化模型
根据式(5)可以得出,冻结区深度的变化会改变主控面抗滑力,进而影响危岩体的稳定性。因此,有必要考虑冻结深度演化规律。根据图1所示,危岩体贯通段端部楔形坡体边界受到低温作用,冻结深度由岩石表面不断向下延伸。考虑到岩石冻结深度的影响因素众多,其中基于传热理论的Stephan冻结深度经验公式受到广泛认可。因此,在寒区岩土工程中,利用Stephan经验公式可获得单一岩层条件下的冻结深度的表达式[32]:
$$ {h^{\text{d}}} = \sqrt {\frac{{2\lambda D\left| {{T_{\text{w}}}} \right|}}{{80\left( {{w_{\text{u}}} - w} \right){\rho _{\text{d}}}}}} $$ (36) 式中:λ为岩石的导热系数;D为单次冻融循环中冬季持续天数;wu和w分别为岩石含水率和未冻水含量;ρd为岩石干密度;Tw为冬季平均计算温度,冬季平均地表温度可根据当地气象资料并按式(37)计算:
$$ \left\{ \begin{array}{l}{T}_{\text{w}}=\dfrac{\left({T}_{\text{h}}+{T}_{\text{c}}\right)}{2}-\dfrac{\left({T}_{\text{h}}-{T}_{\text{c}}\right)\mathrm{sin}\;\theta }{2\left({\text{π}} -\theta \right)}\text{,}\\ \theta \text{=arccos}\left(\dfrac{{T}_{\text{h}}+{T}_{\text{c}}}{{T}_{\text{c}}-{T}_{\text{h}}}\right)\end{array}\right. $$ (37) 式中,Th和Tc分别为最暖月和最冷月的月平均温度,θ为冻胀角。通过对式(37)中冬季平均温度Tw影响参数的敏感性分析发现,最冷月份温度对冬季平均温度的影响要远大于最暖月份温度对冬季平均温度的影响。因此,后续将取最冷月份温度作为分析对象。
万旭升等[33]基于热力学原理建立了低温作用下的未冻水含量的理论表达式:
$$ {w_n} = \frac{{{\omega _n}s{\rho _{\text{w}}}}}{{{\rho _{\text{d}}}}} $$ (38) 式中,wn为n次循环作用后的岩石未冻水含量,s为与岩石饱和度有关的参数,完全不饱和和完全饱和时分别取0和1。由式(38)可知,当孔隙半径增加时,岩石内未冻水含量也随之增加。联立式(36)和(38)可得不同冻融循环次数下的岩层冻结深度表达式:
$$ h_n^{\text{d}} = \sqrt {\frac{{\lambda D\left| {{T_{\text{w}}}} \right|}}{{40{\rho _{\text{d}}}}}} {\left( {{w_{\text{u}}} - \frac{{{\omega _n}s{\rho _{\text{w}}}}}{{{\rho _{\text{d}}}}}} \right)^{ - 0.5}} $$ (39) 以西藏某地为例,分析不同冻融循环次数下的岩石冻结深度演化趋势,当地气象资料及计算参数见表2;将表2中参数代入式(39),结果如图9所示。
表 2 冻结深度计算参数Table 2 Calculation parameters of freezing depthTh/℃ λ/(W·mK–1) D wu/% Tc/℃ ρd/(g·cm–3) s ω0/% 25.7 2.2 60 6.7 –20.1 2.34 0.78 2.3 由图9可知,随着冻融循环次数增加,冻结深度呈先快后慢的增加趋势,并最终趋于稳定。
历经一次冻融作用后,当次冻结深度区岩石黏聚力才开始劣化,之前冻结岩石的黏聚力劣化程度则进一步加深,这就导致随着冻融循环次数的累加,锁固段岩石黏聚力出现差异。由此可知,岩石冻结深度演化是一个循序渐进的过程。因此,滑移式危岩体主控面上抗滑力为:
$$ \begin{aligned}[b] {\tau _n} =& \left( {W\cos\; \beta - Q\sin \;\beta - Ph{{\left( {\sin \;\beta } \right)}^{ - 1}}} \right)\tan \;\varphi + \\& {\left( {\sin \;\beta } \right)^{ - 1}} \times {c_0}\left( {H - h - {h_n}} \right) +\\& {\left( {\sin\; \beta } \right)^{ - 1}}\sum\limits_{i = 1}^n {\left[ {\left( {h_i^{\text{d}} - h_{i - 1}^{\text{d}}} \right){c_{n + 1 - i}}} \right]} \end{aligned}$$ (40) 将式(9)、(35)、(39)代入式(5),可得不同冻融循环次数下的滑移式危岩体稳定性系数为:
$$\begin{aligned}[b] {F_n} =& {\left( {W\sin \;\beta + Q\cos\; \beta } \right)^{ - 1}} \times \Biggl\{{20} \Biggl({20} W\cos \;\beta - Q\sin \;\beta - \\& \frac{{h{\rho _{\text{i}}}L\phi }}{{{t_0}\sin \;\beta }}\left[ {{t_{\text{a}}} - t + \frac{{{t_0} - {t_{\text{a}}}}}{{\eta - 1}}\left( {{{\left( {\frac{{{t_0} - {t_{\text{a}}}}}{{{t_0} - t}}} \right)}^{\eta - 1}} - 1} \right)} \right] \Biggl){20}\tan\; \varphi + \\& \left[ {H - h - \sqrt {\frac{{\lambda D\left| {{T_{\text{w}}}} \right|}}{{40{\rho _{\text{d}}}}}} {{\left( {{w_{\text{u}}} - \frac{{{\omega _n}s{\rho _{\text{w}}}}}{{{\rho _{\text{d}}}}}} \right)}^{ - 0.5}}} \right] \times {c_0}{\left( {\sin\; \beta } \right)^{ - 1}} + \\& {c_0}{\left( {\sin\; \beta } \right)^{ - 1}}\sum\limits_{i = 1}^n \Biggl[{20} \Biggl({20} \sqrt {\frac{{\lambda D\left| {{T_{\text{w}}}} \right|}}{{40{\rho _{\text{d}}}}}} {{\left( {{w_{\text{u}}} - \frac{{{\omega _i}s{\rho _{\text{w}}}}}{{{\rho _{\text{d}}}}}} \right)}^{ - 0.5}} -\\& \sqrt {\frac{{\lambda D\left| {{T_{\text{w}}}} \right|}}{{40{\rho _{\text{d}}}}}} {{\left( {{w_{\text{u}}} - \frac{{{\omega _{i - 1}}s{\rho _{\text{w}}}}}{{{\rho _{\text{d}}}}}} \right)}^{ - 0.5}} \Biggl){20} \times \\& {\left( {1 - {\omega _0}} \right)^{ - 1}} \times \Biggl[{20} 1 - {\omega _0}\Biggl({20} \prod\limits_{m = 1}^{n + 1 - i} \Biggl({20} 1 - q + \\& q\sqrt {\frac{{\gamma {G_{\text{r}}}\left( {1 + \nu } \right)\left( {\delta - 1} \right){{\left( {a_{m - 1}^*/{a_{m - 1}}} \right)}^2}\left( {1 - \sin\; \varphi } \right)}}{{2c\cos \;\varphi + \gamma c\cos \;\varphi \left( {1 + \nu } \right)\left( {1 - \sin \;\varphi } \right)}}} \Biggl){20} \Biggl){20}^2 \Biggl]{20} \Biggl]{20} \Biggl\}{20} \end{aligned}$$ (41) 由式(41)可知,在冻融循环条件下影响危岩体稳定性的参数包括危岩体自身应力状态(W、Q、P)、危岩体的结构面参数(β、H、h)、危岩体物理力学性质(c0、
$\varphi $ 、ω0)、环境温度和冻融循环次数n等。4. 算例及参数分析
4.1 算例
某滑移式危岩体坐落于中国西北,该地区夏季平均气温为22 ℃,冬季平均气温为–17.8 ℃,低温持续时间为60 d;当地抗震设防烈度为7度,设计基本地震加速度为0.15g,考虑到岩土体覆盖、结构反应的放大系数可得该地水平地震影响系数ζ为0.338;该危岩位于山坡底部,高3.5 m,岩层整体呈板状,主要组成成分为厚层状砂岩,岩质较坚硬,表面微风化,其中局部夹杂砂质泥岩。工程主要参数见表3。
表 3 危岩体工程参数Table 3 Engineering parameters of dangerous rock mass参数 值 参数 值 W/(MN·m–1) 8.834 Q/(MN·m–1) 2.981 Er/MN 6000 v 0.35 ω0/% 2.31 wu/% 7.62 κ 1.09 γ 1 q 0.82 s 0.7 H/m 3.5 h/m 2.16 c0/MPa 6.02 $\varphi $/(°) 35.4 t/°C –17.8 Tw/℃ –11.4 β/(°) 30.6 ρd/(g·cm–3) 2.41 ρw/(g·cm–3) 1.0 ρi/(g·cm–3) 0.917 将表3中参数代入式(41)进行计算,可得寒区滑移式危岩稳定性系数随冻融循环次数的变化曲线,结果如图10所示。
由图10可知:危岩体稳定性系数随冻融循环次数增大而减小,且随着冻融循环次数的增加,稳定性系数下降的速率逐渐减小;历经相同的冻融循环次数时,冻融初始阶段稳定性系数下降幅度远高于冻融后期阶段。根据陈洪凯等[34]对滑移式危岩体稳定性的判据标准,历经40次冻融循环后危岩体由稳定状态变为失稳状态。由此可见,冻融循环作用对寒区滑移式危岩体稳定性影响显著。
4.2 参数分析
利用上述滑移式危岩体工程算例,仅改变单一参数,其余参数不变,对影响危岩体稳定性的外因(以冻结温度为例)和内因(以岩屑流失比为例)进行敏感性分析,结果如图11~14所示。
图11为冻结温度分别为–10、–20、–30℃时危岩稳定性系数随冻融循环次数的变化曲线。由图11可知:冻结温度越低,危岩体所受冻胀破坏越显著,其稳定性越差;岩体冻结温度越低,危岩稳定性系数下降速率越慢。如:冻融循环次数为40次时,3种温度下的稳定性系数分别下降了15.7%、24.9%和33.5%,这是因为岩体温度不仅可以影响结构面未贯通段冻胀力,同时也会对贯通段冻结深度区造成影响。由此可见岩体所处环境温度是影响危岩稳定性的重要因素。
图12为不同冻融循环次数下,危岩体稳定性系数随冻结温度变化的敏感性分析曲线。由图12可知,危岩体稳定性系数随冻结温度下降而下降,下降速率整体呈均匀变化,无明显加速或降速阶段。
图13为不同岩屑流失比条件下,危岩体稳定性劣化曲线。由图13可知:岩屑流失比越高,危岩体稳定性劣化越显著,且在最初冻融循环作用阶段,岩屑流失比高的危岩体稳定劣化幅度要远大于另外两种岩屑流失比。如q=0.75和0.85时,在历经10次冻融循环后,其Fn分别下降了11.5%和36.5%;当循环次数为40次时,Fn分别为37.8%和71.3%。因此,控制岩屑流失比不仅能降低危岩体稳定性劣化程度,还能使其更晚进入失稳破坏状态。结合图12和13可以发现,冻融循环次数对危岩体稳定性的影响存在明显的边际递减效应。
图14为3种不同冻融循次数下的岩屑流失比敏感性分析曲线。由图14可知,在相同冻融循环次数下,稳定性系数随岩屑流失均出现了先慢后快的下降趋势。当岩屑流失比超过0.83时,3种循环次数下的稳定性系数下降速率都明显升高;在冻融循环次数较小时,岩屑流失比变化对稳定性系数的影响较小。因此,在寒区工程中,通过注浆等方法控制岩屑流失比至0.83以下,有利于危岩体的长期稳定性。
5. 结 论
基于岩石冻胀理论和圆孔扩张理论,对不同冻融循环次数下的滑移式危岩体稳定性劣化机理进行理论分析。综合考虑冻融循环作用对危岩体主控面(包括结构面冻胀力萌生,锁固段岩石黏聚力劣化和冻结深度下探)的影响,建立危岩体稳定性劣化模型,同时对部分参数进行敏感性分析。主要结论如下:
1)基于岩石冻胀理论并考虑岩屑流失比的细观孔隙扩径模型能较好地反映宏观上冻融循环作用下岩石黏聚力的劣化效果。
2)滑移式危岩体稳定性系数随冻融循环次数增大呈先快后缓的下降趋势,与冻结温度呈正相关关系,与岩屑流失比呈负相关关系。
3)岩屑流失比的增大会在最初冻融阶段加速危岩体劣化,同时也使其更早进入失稳破坏状态。在寒区危岩体工程中可通过设置保温层、加固岩体、注浆等措施提高危岩体的长期稳定性。
-
表 1 砂岩参数
Table 1 Sandstone parameters
Er/MPa c0/kPa γ ω0/% v $\varphi $/(°) q T/℃ 1000 94.5 0.04 2.71 0.3 30 0.85 –30 表 2 冻结深度计算参数
Table 2 Calculation parameters of freezing depth
Th/℃ λ/(W·mK–1) D wu/% Tc/℃ ρd/(g·cm–3) s ω0/% 25.7 2.2 60 6.7 –20.1 2.34 0.78 2.3 表 3 危岩体工程参数
Table 3 Engineering parameters of dangerous rock mass
参数 值 参数 值 W/(MN·m–1) 8.834 Q/(MN·m–1) 2.981 Er/MN 6000 v 0.35 ω0/% 2.31 wu/% 7.62 κ 1.09 γ 1 q 0.82 s 0.7 H/m 3.5 h/m 2.16 c0/MPa 6.02 $\varphi $/(°) 35.4 t/°C –17.8 Tw/℃ –11.4 β/(°) 30.6 ρd/(g·cm–3) 2.41 ρw/(g·cm–3) 1.0 ρi/(g·cm–3) 0.917 -
[1] Shi Chong,Yang Bo,Zhang Yiping,et al.Application of discrete-element numerical simulation for calculating the stability of dangerous rock mass:A case study[J].International Journal of Geomechanics,2020,20(12):04020231. doi: 10.1061/(asce)gm.1943-5622.0001872 [2] Yang Peng,Shang Yanjun,Li Yanyan,et al.Analysis of potential rockfalls on a highway at high slopes in cold-arid areas (northwest Xinjiang,China)[J].Sustainability,2017,9(3):414. doi: 10.3390/su9030414 [3] Chen Hongkai,Tang Hongmei.Calculation method of stability coefficient of perilous rock based on the limit equilibrium theory[J].Information Computing and Applications,2010(106):88–95. doi: 10.1007/978-3-642-16339-5_12 [4] Chen Hongkai,Tang Hongmei.Stability analysis method of perilous rock in source of avalanche[J].Journal of Geology and Mining Research,2010,2(3):60–67. [5] Kong Ying,Shi Huapeng,Yu Hongming.Analysis of unstable rock-mass stability based on limit equilibrium method and strength reduction method[J].Applied Mechanics and Materials,2016,858:73–80. doi: 10.4028/www.scientific.net/amm.858.73[LinkOut [6] Nie Lei,Qiao Daoyong,Su Zhandong,et al.Analysis and evaluation for Longxihe dangerous rock stability[J].Advanced Materials Research,2012,535/536/537:1794–1798. doi: 10.4028/www.scientific.net/amr.535-537.1794 [7] Heinze T.Possible effect of flow velocity on thawing rock-water-ice systems under local thermal non-equilibrium conditions[J].Cold Regions Science and Technology,2020,170:102940. doi: 10.1016/j.coldregions.2019.102940 [8] Chen Yanlong,Wu Peng,Yu Qing,et al.Effects of freezing and thawing cycle on mechanical properties and stability of soft rock slope[J].Advances in Materials Science and Engineering,2017,2017:1–10. doi: 10.1155/2017/3173659 [9] Chen Guoqing,Wan Yi,Li Yang,et al.Time-dependent damage mechanism of rock deterioration under freeze-thaw cycles linked to alpine hazards[J].Natural Hazards,2021,108(1):635–660. doi: 10.1007/s11069-021-04699-5 [10] Qiao Chen,Wang Yu,Li Changhong,et al.Catastrophe instability analysis of rock slopes with locked segments in open-pit mine due to freeze-thaw weathering[J].Bulletin of Engineering Geology and the Environment,2022,81(4):135. doi: 10.1007/s10064-022-02635-w[LinkOut [11] Yang Xiurong,Jiang Annan,Zheng Shuai.Analysis of the effect of freeze-thaw cycles and creep characteristics on slope stability[J].Arabian Journal of Geosciences,2021,14(11):1–13. doi: 10.1007/s12517-021-07290-1 [12] Luo Xuedong,Jiang Nan,Fan Xinyu,et al.Effects of freeze-thaw on the determination and application of parameters of slope rock mass in cold regions[J].Cold Regions Science and Technology,2015,110:32–37. doi: 10.1016/j.coldregions.2014.11.002 [13] Mufundirwa A,Fujii Y,Kodama N,et al.Analysis of natural rock slope deformations under temperature variation:A case from a cool temperate region in Japan[J].Cold Regions Science and Technology,2011,65(3):488–500. doi: 10.1016/j.coldregions.2010.11.003 [14] Zhao Yuxia,Feng Jun,Liu Kangqi,et al.Freeze-thaw stability analysis of the high-ice content soil-rock cutting slope:A case study in oroqen autonomous banner,North China[J].Geofluids,2020,2020:1–15. doi: 10.1155/2020/8825007 [15] Jian Nan,Luo Xuedong,Mei Nianfeng,et al.Stability of mining slope considering freeze-thaw cyclic effect[J].Electronic Journal of Geotechnical Engineering,2013,18:3561–3572. [16] Chang Zhiguo,Cai Qingxiang,Ma Li,et al.Sensitivity analysis of factors affecting time-dependent slope stability under freeze-thaw cycles[J].Mathematical Problems in Engineering,2018,2018:1–10. doi: 10.1155/2018/7431465 [17] Chen Siqi,Chen Hongkai,Yang Ming,et al.Analysis on fracture mechanics of unstable rock[J].World Journal of Engineering and Technology,2016,4(3):69–75. doi: 10.4236/wjet.2016.43c009 [18] Huang Bolin,Yin Yueping,Tan Jianmin.Risk assessment for landslide-induced impulse waves in the Three Gorges Reservoir,China[J].Landslides,2019,16(3):585–596. doi: 10.1007/s10346-018-1115-9 [19] Wang Wenpei,Yin Yueping,Zhu Sainan,et al.Investigation and numerical modeling of the overloading-induced catastrophic rockslide avalanche in Baige,Tibet,China[J].Bulletin of Engineering Geology and the Environment,2020,79(4):1765–1779. doi: 10.1007/s10064-019-01664-2 [20] Hall K.Rock temperatures and implications for cold region weathering.I:New data from Viking valley,Alexander island,Antarctica[J].Permafrost and Periglacial Processes,1997,8(1):69–90. doi: 10.1002/(sici)1099-1530(199701)8:1<69:aid-ppp236>3.0.co;2-q [21] Vlahou I,Worster M G.Ice growth in a spherical cavity of a porous medium[J].Journal of Glaciology,2010,56(196):271–277. doi: 10.3189/002214310791968494 [22] Zhou Jiazuo,Wei Changfu.Ice lens induced interfacial hydraulic resistance in frost heave[J].Cold Regions Science and Technology,2020,171:102964. doi: 10.1016/j.coldregions.2019.102964 [23] Rempel A W.Formation of ice lenses and frost heave[J].Journal of Geophysical Research,2007,112(F2):1–17. [24] 刘泉声,黄诗冰,康永水,等.裂隙冻胀压力及对岩体造成的劣化机制初步研究[J].岩土力学,2016,37(6):1530–1542. doi: 10.16285/j.rsm.2016.06.002 Liu Quansheng,Huang Shibing,Kang Yongshui,et al.Preliminary study of frost heave pressure and its influence on crack and deterioration mechanisms of rock mass[J].Rock and Soil Mechanics,2016,37(6):1530–1542 doi: 10.16285/j.rsm.2016.06.002 [25] Wang Liping,Li Ning,Qi Jilin,et al.A study on the physical index change and triaxial compression test of intact hard rock subjected to freeze-thaw cycles[J].Cold Regions Science and Technology,2019,160:39–47. doi: 10.1016/j.coldregions.2019.01.001 [26] Mu Jianqiao,Pei Xiangjun,Huang Runqiu,et al.Degradation characteristics of shear strength of joints in three rock types due to cyclic freezing and thawing[J].Cold Regions Science and Technology,2017,138:91–97. doi: 10.1016/j.coldregions.2017.03.011 [27] Deng Zhengding,Zhan Xingxin,Zeng Wei,et al.A degradation model of mode-I fracture toughness of rock under freeze-thaw cycles[J].Theoretical and Applied Fracture Mechanics,2021,115:103073. doi: 10.1016/j.tafmec.2021.103073 [28] 刘泉声,黄诗冰,康永水,等.低温冻结岩体单裂隙冻胀力与数值计算研究[J].岩土工程学报,2015,37(9):1572–1580. doi: 10.11779/CJGE201509003 Liu Quansheng,Huang Shibing,Kang Yongshui,et al.Numerical and theoretical studies on frost heaving pressure in a single fracture of frozen rock mass under low temperature[J].Chinese Journal of Geotechnical Engineering,2015,37(9):1572–1580 doi: 10.11779/CJGE201509003 [29] 孙钧,侯学渊.地下结构:下册[M].北京:科学出版社,1988. [30] 袁文伯,陈进.软化岩层中巷道的塑性区与破碎区分析[J].煤炭学报,1986,11(3):77–86. doi: 10.13225/j.cnki.jccs.1986.03.011 Yuan Wenbo,Chen Jin.Analysis of plastic zone and loose zone around opening in softening rockmass[J].Journl of China Coal Society,1986,11(3):77–86 doi: 10.13225/j.cnki.jccs.1986.03.011 [31] 贾海梁,刘清秉,项伟,等.冻融循环作用下饱和砂岩损伤扩展模型研究[J].岩石力学与工程学报,2013,32(增刊2):3049–3055. doi: 10.3969/j.issn.1000-6915.2013.z2.010 Jia Hailiang,Liu Qingbing,Xiang Wei,et al.Damage evolution model of saturated sandstone under freeze-thaw cycles[J].Chinese Journal of Rock Mechanics and Engineering,2013,32(Supp2):3049–3055 doi: 10.3969/j.issn.1000-6915.2013.z2.010 [32] 王仲锦,叶阳升,闫宏业,等.寒区铁路路基防冻胀设计中冻深计算方法的探讨[J].铁道建筑,2013,53(2):57–59. doi: 10.3969/j.issn.1003-1995.2013.02.18 Wang Zhongjin,Ye Yangsheng,Yan Hongye,et al.Discussion on calculation method of freezing depth in frost heaving design of railway subgrade in cold area[J].Railway Engineering,2013,53(2):57–59 doi: 10.3969/j.issn.1003-1995.2013.02.18 [33] 万旭升,赖远明,张明义,等.土中未冻含水量与温度关系研究[J].铁道学报,2018,40(1):123–129. doi: 10.3969/j.issn.1001-8360.2018.01.019 Wan Xusheng,Lai Yuanming,Zhang Mingyi,et al.Research on relationship between unfrozen water content in soil and temperature[J].Journal of the China Railway Society,2018,40(1):123–129 doi: 10.3969/j.issn.1001-8360.2018.01.019 [34] 陈洪凯,唐红梅,叶四桥,等.危岩防治原理[M].北京:地震出版社,2006.
下载:











































